Harvard University FAS Shield
Fall 2003
 
 

Mathematics 1a

Course Head: Robin Gottlieb
Office: Science Center 430
Email: gottlieb@math.harvard.edu

Head CA: Andrei Boros
Email: boros@fas.harvard.edu

Final Preparation



The following problems can be omitted (since we didn't emphasize the material this year)
Review problems # 8bc and 37
Jan. 19, 2000 exam (Winters) # 12ce
Jan. 23, 2000 exam (Siu): long and challenging . . .
May 23, 2000 exam: #6.
Note: Solutions for the May 2000 exam have been fixed and are back up.




Additional corrections to Fall 2002:
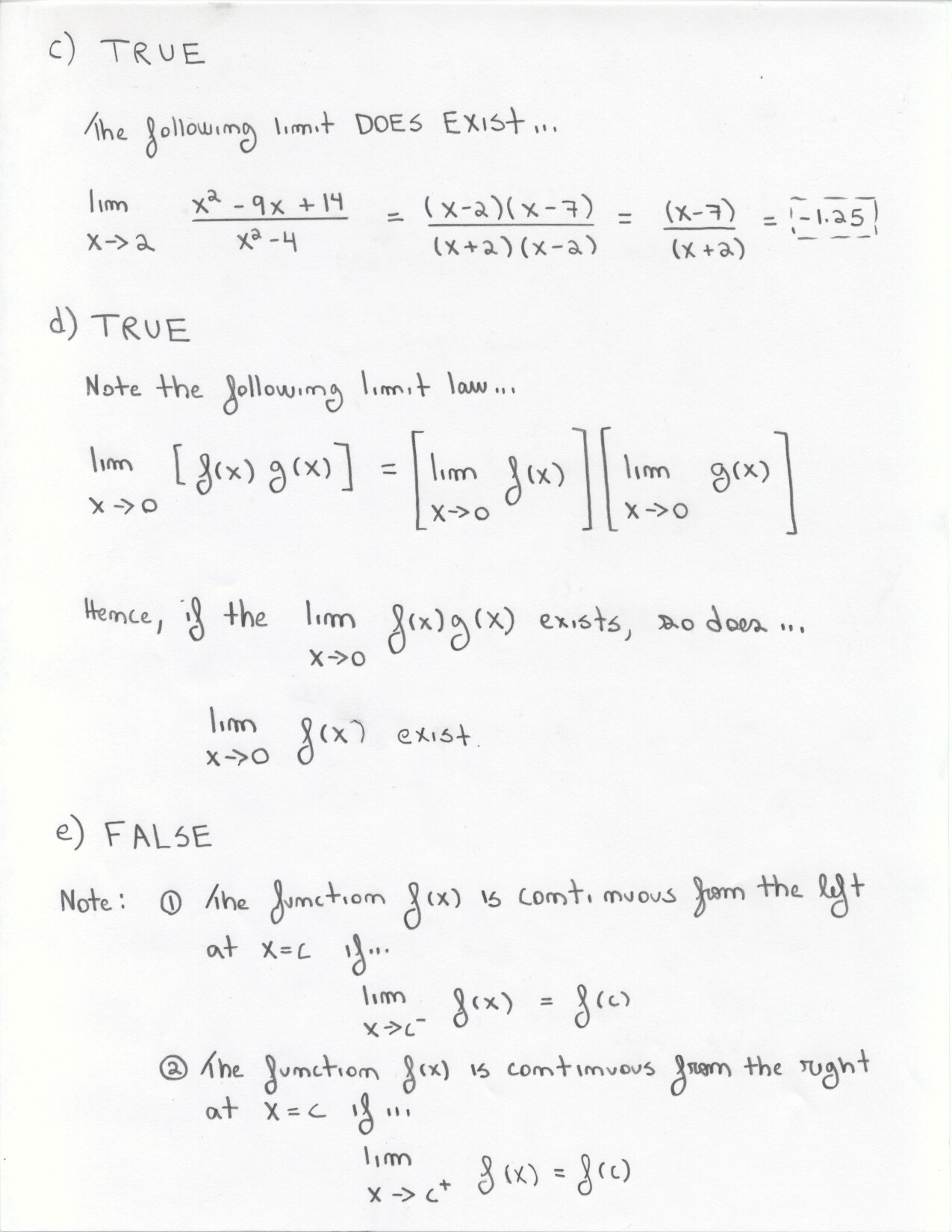
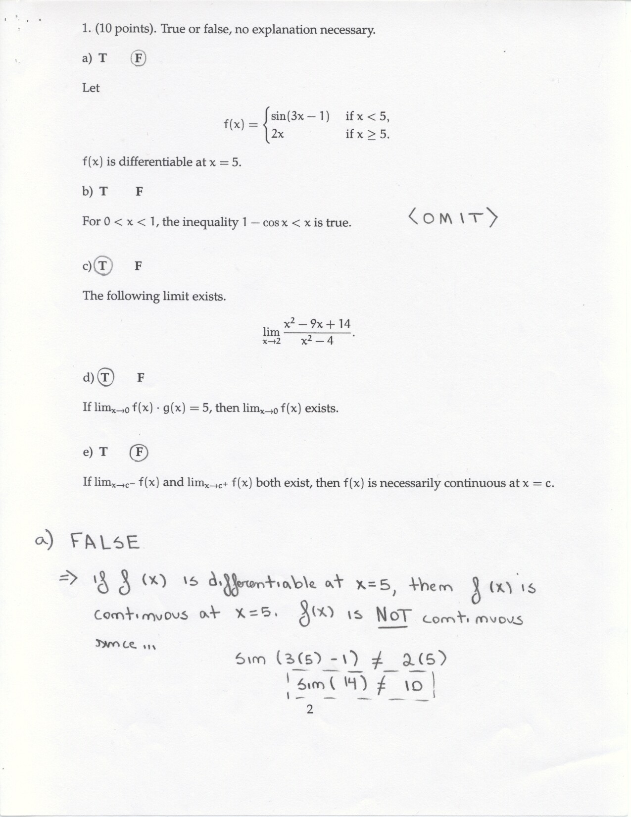
#1(a) lim x to 2 should be written two more times.
#1(c) Unlike the damped oscillations in part (d), these are getting wilder as x increases.

#2: if the explanation given in the corrections is not adequate, please see Ex 6 p. 137 in your text.
#3c arctan x would have two horizontal asymptotes.
#4. When you give a linearization, make sure that what you have is the equation of a line! L (x) = f(a) + f'(a) (x-a) or in this case
L(x) = f(25) + f'(25) (x-25). It is not necessary to use this "formula" in order to get the linear approximation. The correct answer is 5.1 as stated in the corrections.
#6: I would say that the velocity graph does NOT have a vertical asymptote at x=3, but rather a jump discontinuity.

Corrections to spring 1998:
# 1(d) False: let f(x) = 1/x and g(x) = 5/x.
The limit rule quoted is only true if both limits independently exist.
1(e) The statement is false but the reason given doesn't make sense. If the function is continuous from the left and right with the definitions stated then the function must be continous. However, the left and right hand limits could be different, or we could have the left and right hand limits equal but the function defined at c to be something entirely different.

#5: f'(2) is not 1. This says that as h approaches 0 the difference between f at 2+h and at 2 approaches -1. Try f(x) = 4 for x <2 and f(x) = 3 for x>2 for example.
Exam Solution
Fall 2002
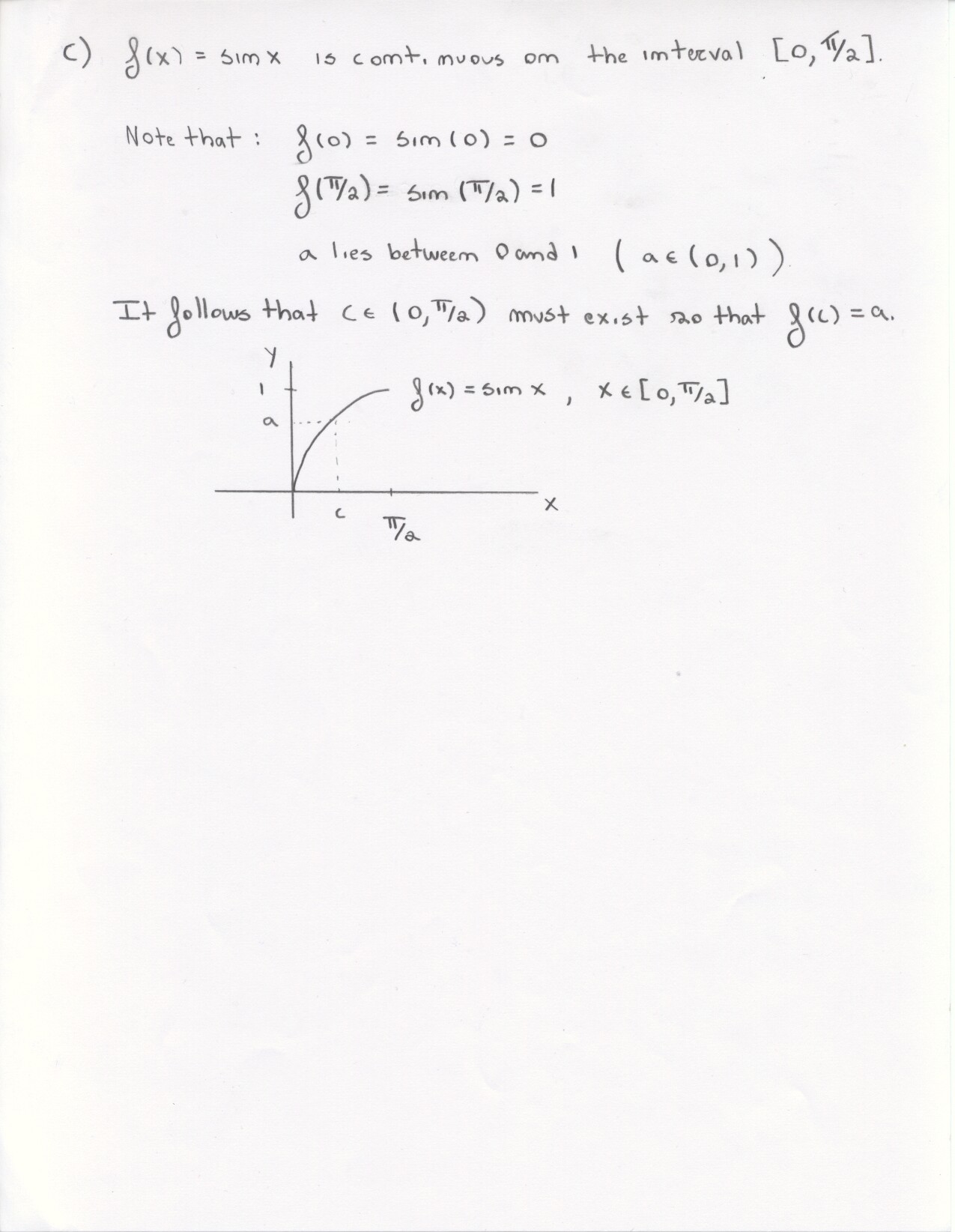
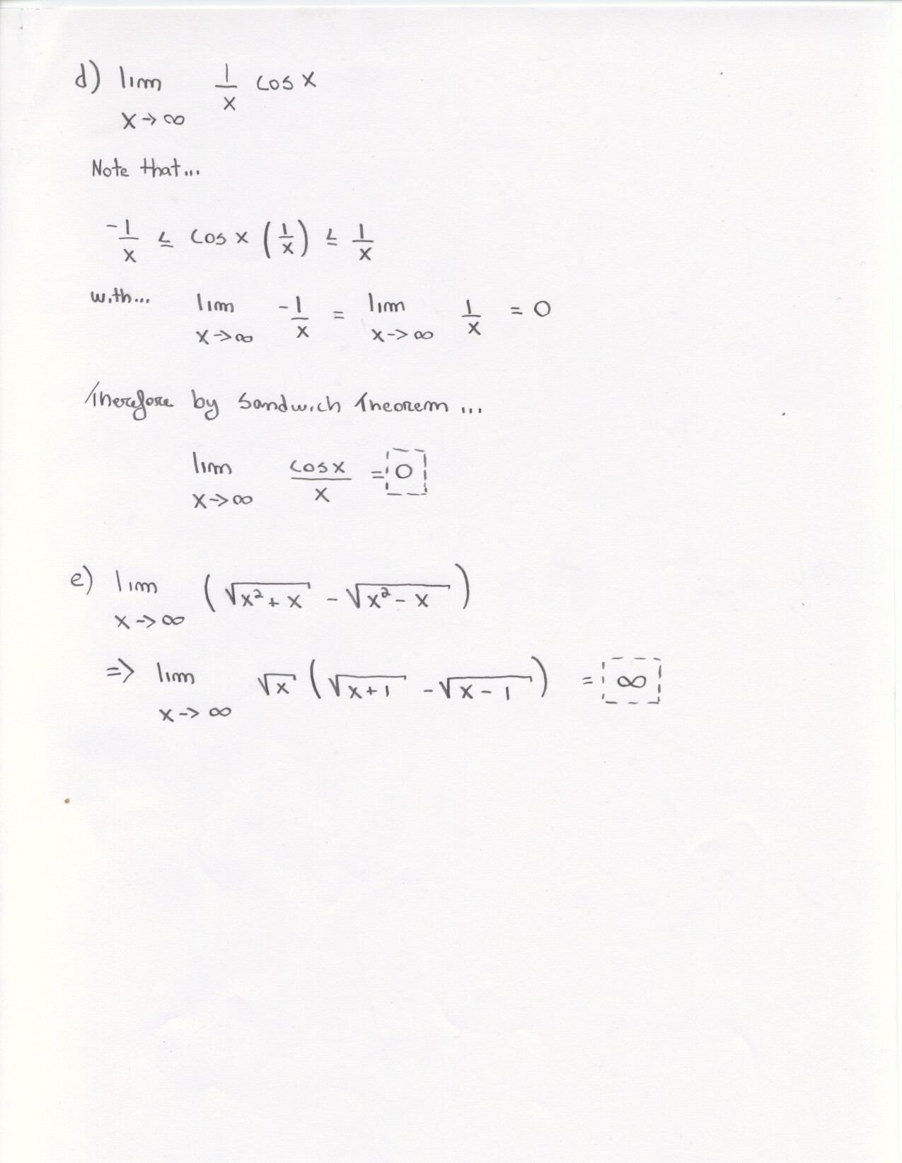
page1
page2
page3
page4
page5
page6
page7
page8
page9
page10
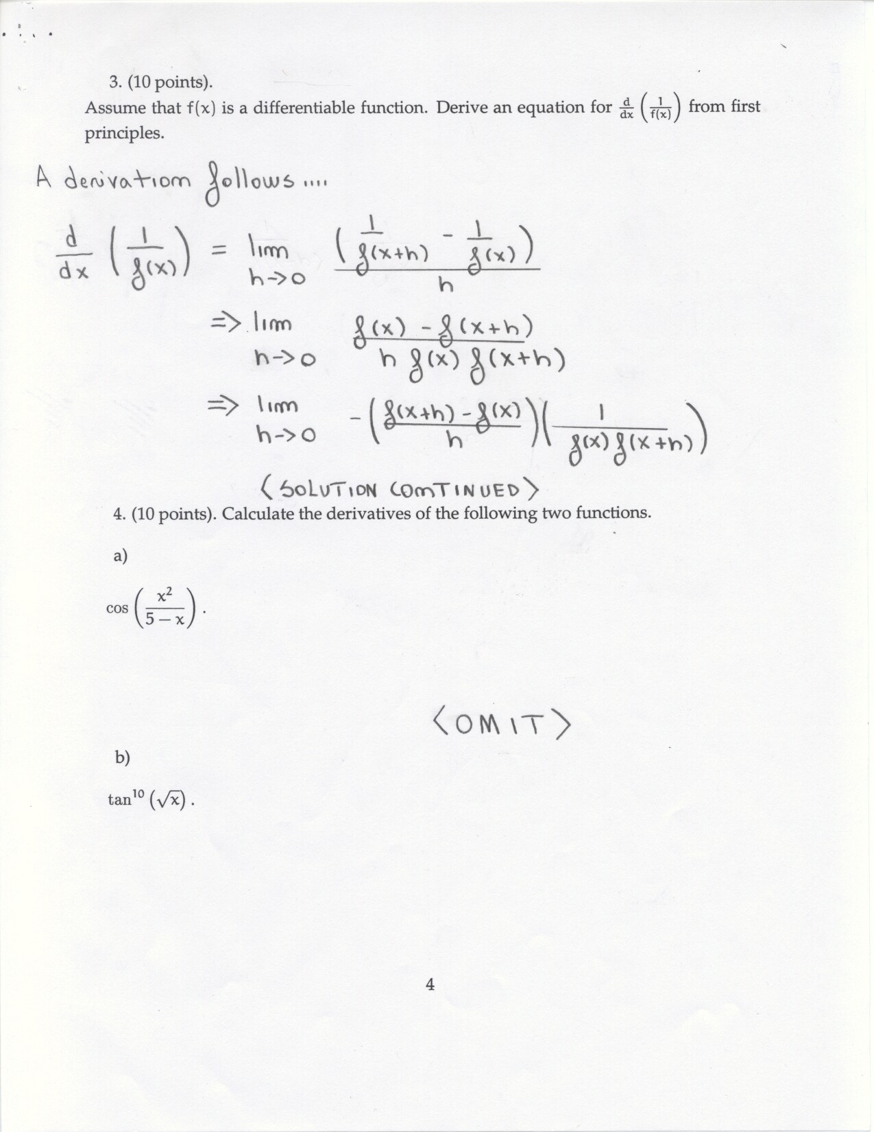
Solution (additional corrections above the box)
<Solution Correction>

page1

page2
page3
page4
page5
page6
page7
page8
page9
page9
page10
page11
page12
page13
Fall 2000
Note: Omit #4, 5, 7 and 8
Solution
Fall 1999
Note: Omit #5, 6 and 7 AND On Question 3b use the limit definition of a derivative
Solution
Spring 1998
page1
page2
page3
page4
page5
Note: Omit #1b and 4
Solution (see corrections above the box).
page1
page2
page3
page4
page5
page6
page7
page8

                                                                              

Midterm 2

 

Fall 1996

Note: omit #4b

Solutions
Spring 1998

 hint on #4: temp drops at an instantaneous rate
of 3% per minute means dT/dt = -.03T so, T(t) = Ce^{-0.03 t}.

Solutions
Fall 1999

Note: omit #2

Solutions
Review Problems

Note: omit #9, 16, 17

Solutions
Fall 2000 Solutions
Fall 2002 Solutions

Please send comments about this web site to gottlieb@fas.harvard.edu.