Math 19b, Linear Algebra, Probability and Statistics, Spring, 2011
News
Syllabus
Notes
Homework
Exhibits
Exams
Links
Fundamental limit theorems
By
William Feller
It mentions more than we did, like the law of iterated logarithm. But the article contains some interesting thoughts and opinions. See for example the remarks about the Petersburg paradox around page 820.
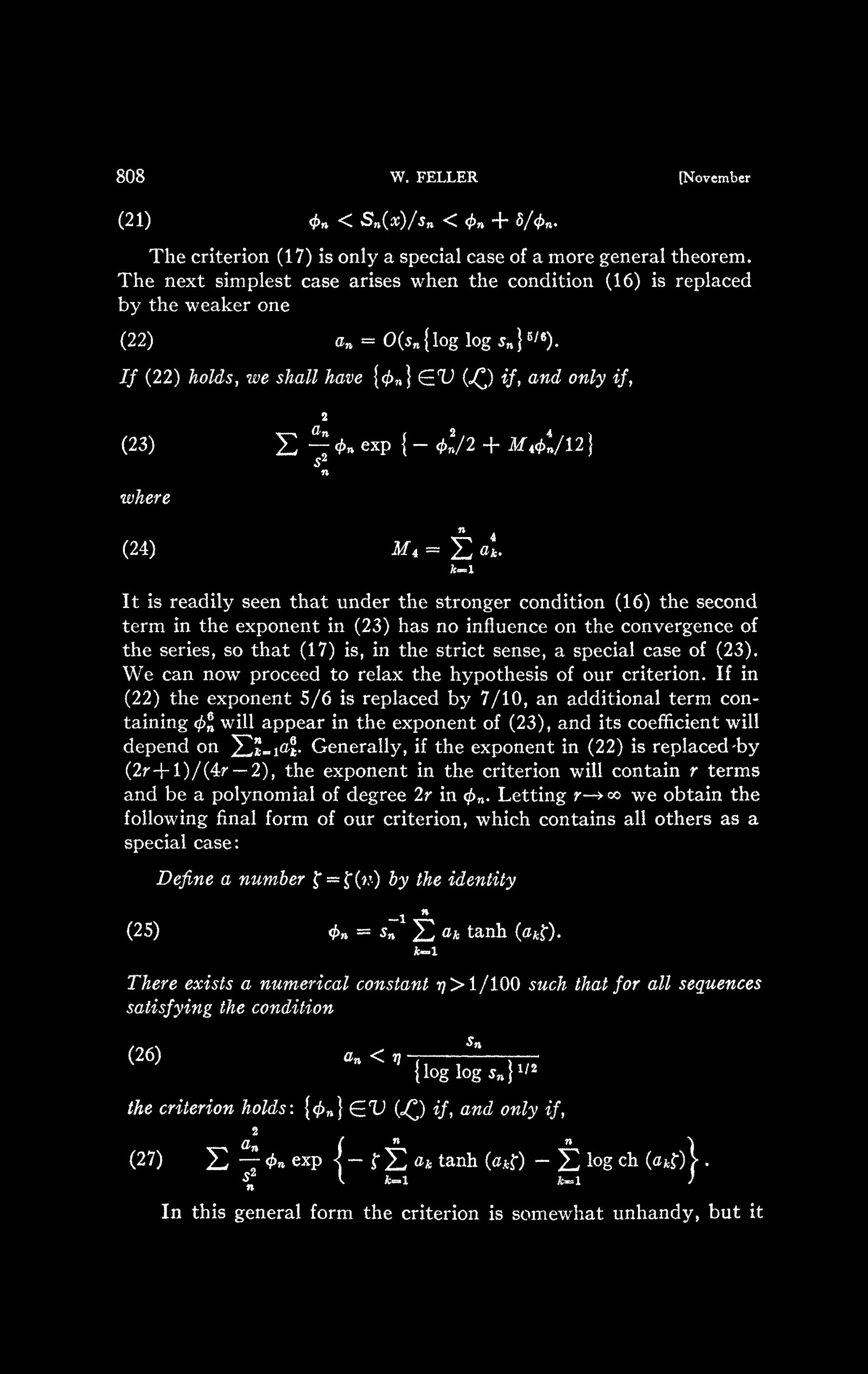
PDF