|
Math Xb -
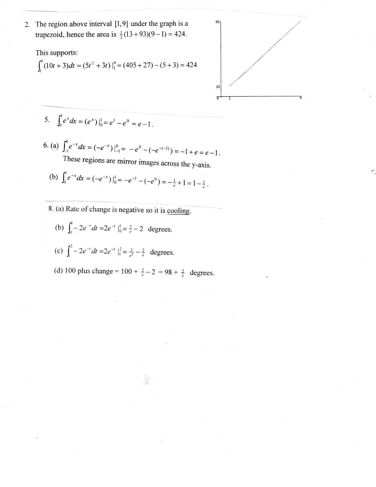
Introduction to Functions and Calculus II
Home
| Course Info
| Schedule
| Gateways
| Examinations
| Videos
| Sections & Labs
| Links
| Math Dept
|
Week 1 | 2 | 3 | 4 | 5 | 6 | 7 | 8 | 9 | 10 | 11 | 12 | 13
| Week | Date | Topic | Homework Due | Reading | Goals / Notes |
| 1 | 2/7/05 | Course introduction & Implicit differentiation (17.1) | None | §17.1, particularly p. 536 (example 17.1 part b) | Understand goals and structure of course, Be able to follow logarithmic differentiation |
| 2/8/05 | No lab meeting | ||||
| 2/9/05 | Logarithmic Differentiation (17.2) | §17.1 #1, 2 [Solutions] |
§17.2 | Be able to use logarithmic differentiation to find a derivative of a function [Notes] |
|
| 2/10/05 | Lab 1: Implicit Differentiation | [Handout on Reading Mathematics] |
|||
| 2/11/05 | Implicit Differentiation (17.3) | §17.2 #1, 2, 3, 4, 7 [Solutions] |
§17.3, particularly examples 17.4 and 17.8 | Understand what is meant by an implicitly defined function, Be able find derivatives of functions given implicitly, Use implicit differentiation to find the slope of the tangent line to a curve at a point, Understand when to use implicit differentiation |
|
| 2 | 2/14/05 | Related Rates (17.4) | §17.3 #1, 3, 5, 6, 11, 12(b,e,g) [Solutions] |
§17.4 | Be able to use implicit differentiation to solve problems ("related rates" problems) |
| 2/15/05 | Gateway I: Exponential and Logarithmic Functions | See Gateways page for more information and practice problems. | |||
| 2/16/05 | Approximating functions with polynomials (Taylor polynomials) | §17.4 #2, 3, 4, 5, 9, 14 [Solutions] |
§30.1, particularly example 30.1 | Understand what is meant by approximating a function with a polynomial, Be able to find Taylor polynomials, Be able to use Taylor polynomials to find approximate values for functions [Notes] |
|
| 2/17/05 | Problem session: computing Taylor polynomials | ||||
| 2/18/05 | Sine and Cosine (19.1) | §30.1 #1(a,b,c), 6 (also compute 5th degree Taylor poly), 15 [solutions] |
§19.1, particularly p. 594 and 599 | Understand how to define the sine and cosine functions as a function of arc length on the unit circle, Be able to approximate the sine and cosine, Understand and be able to use some trigonometric identities [Notes] |
|
| 3 | 2/21/05 | No class: president's day | |||
| 2/22/05 | Problem session | ||||
| 2/23/05 | Graphs of Sine and Cosine (19.2) | §19.1 #1, 2, 3, 4, 5, 6 |
§19.2, particularly p. 603-4 | Be familiar with the graphs of the sine and cosine, Be able to identify the period, balance value, and amplitude of a sinusoidal graph, Be able to write an equation whose graph matches the given sinusoidal graph [Notes] |
|
| 2/24/05 | Lab 2: Mathematical Modeling of the Tides | ||||
| 2/25/05 | Tangent Function, Angles, and Arc Length (19.3 & 19.4) | §19.2 #5, 6, 9, 10, 14 [solutions] |
§19.3 and 19.4 | Understand the definition of tangent as the slope of a certain line, Understand the graph of the tangent, including the relationship to the graphs of the sine and cosine, Be able to use radian measure of angles, Be comfortable with the relationship between radian measure and arc length, To be able to find trigonometric functions of angles by taking advantage of circle symmetry [Notes] |
|
| 4 | 2/28/05 | Right triangle trigonometry (20.1 & 20.2) | §19.3 #3, 4, 10; §19.4 #2, 3, 4, 6, 11 [solutions] |
§20.1 | Be able to use a right triangle to find trigonometric functions, Be able to solve real-world problems using right triangles and trig functions, Be familiar with 45-45-90 and 30-60-90 triangles [Notes] |
| 3/1/05 | Problem Session | ||||
| 3/2/05 | Inverse trig functions (20.3) | §20.1 #1, 3, 6; §20.2 #3, 5, 8 [solutions] |
§20.3, particularly p. 645-6 | Understand inverse trig functions, Be able to simplify expressions involving inverse trig functions using triangles [Notes] |
|
| 3/3/05 | Lab 3: Modeling with Trig Functions | ||||
| 3/4/05 | Solving trig equations (20.4) | §20.3 #1, 2, 3, 4, 7, 8 solutions |
§20.4 | Be able to solve trigonometric equations on restricted and unrestricted domains [Notes] |
|
| 5 | 3/7/05 | Laws of sines, cosines, and trig identities (20.5 & 20.6) | §20.4 #1, 3 (be sure to explain why you can't just cancel cos x), 4, 7, 8, 21 solutions |
§20.5 and 20.6 | Be able to apply the laws of sines and cosines, Be able to use the addition formulas and other identities to simplify trig expressions [Notes] [Trig Identities Handout] |
| 3/8/05 | Gateway II: Trigonometric Functions | See Gateways page for more information, practice problems, and a practice exam. | |||
| 3/9/05 | Derivatives of trig functions (21.1 & 21.2) | §20.5 #1, 4, 5, 7; §20.6 #2, 4, 7, 8 [solutions |
§21.1 and 21.2, particularly p. 688 and Example 21.1 on p. 692 | Be able to follow the derivation of the derivative of the sine function, Be able to find derivatives of trigonometric functions [Notes] |
|
| 3/10/05 | Review Session: Science Center A from 7-9pm | Extra Credit Assignment (due at 9am) | There will be no labs or problem sessions today. | ||
| 3/11/05 | Applications of trig derivatives: Related Rates(21.3) | §21.1 #4; §21.2 #1, 2, 5 | §21.3, example 21.3 | Be able to solve related rates problems using trigonometric derivatives [Notes] |
|
| 6 | 3/14/05 | Optimization and Curve sketching of trig functions | §21.3 #7, 8, 15, 18, 23 | §21.3, example 21.2 | Be able to optimize functions involving trigonometric expressions, Be able to sketch functions involving trig expressions |
| 3/15/05 | Midterm I: Science Center D from 7-9pm |
Your CA may be holding a problem session at an alternate day/time. Check with your CA for details. | |||
| 3/16/05 | Derivatives of inverse trig functions (21.4) | No homework | §21.4 | Understand how to use implicit differentiation to find the derivatives of inverse trig functions, Be able to find derivatives of expressions involving inverse trig functions [Notes] |
|
| 3/17/05 | Problem session | ||||
| 3/18/05 | L' Hospital's Rule, part I Deadline for passing Gateway I |
§21.3 #1, 3, 5, 6; §21.4 #1, 2, 3, 4, 5, 6 | Appendix F | Be able to recognize limits of "indeterminate form" 0/0 and ∞/∞, Be able to evaluate limits of the above forms using L' Hospital's Rule [Notes] [In-class worksheet] |
|
| 7 | 3/21/05 | L' Hospital's Rule, part II | §21.3 #2, 10, 12, 14; p. 1118 #3, 4, 6, 11, 13 | Appendix F | Be able to recognize indeterminate forms 0⋅∞, 1^∞, ∞^0, 0^0 [Notes] [In-class worksheet] |
| 3/22/05 | Lab 4: Net change | ||||
| 3/23/05 | Net change (22.1) | p. 1118 #5, 7, 8, 9, 19, 20, 21, 22 I'm sorry that homework solutions got a little bit behind. Here is a batch of solutions from the last week or so. |
§22.1 | Be able to find net change in a function given a constant rate of change for the function, Be able to approximate the net change in a function given a rate of change which is not constant, Be able to visualize net change as the area under a particular curve [Notes] |
|
| 3/24/05 | Problem session | ||||
| 3/25/05 | Definite integral (22.2) and Summation Notation (18.4) | §22.1 #1 (There is an error I this problem; the clinic has the capacity to serve 30 patients per hour.), 4, 7 [solutions] |
§22.2, particularly p. 725-272, §18.4 | Be able to approximate the area under a curve using left- and right-hand sums, Understand the definition of the definite integral as the limit of a sum, Understand the signed area under a curve, Be able to calculate simple definite integrals, Be able to interpret the derivative as the signed area under a curve or as the net change in amount [Notes] |
|
| 8 | 3/28/05 | Spring break | |||
| 9 | 4/4/05 | Signed Area (22.3) | §22.2 #1, 2, 4, 5, 6 [solutions] |
§22.3 | Be able to evaluate certain integrals by examining the signed area underneath the curve. |
| 4/5/05 | Problem session | ||||
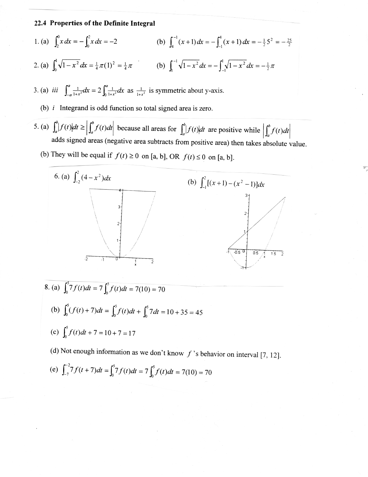
| 4/6/05 | Properties of the Definite Integral (22.4) | §22.3 #1, 3, 5 (Note that these problems are all to be done by thinking it terms of signed area. Show your work. No credit will be given for answers found using other formulas and methods). [solutions] |
§22.4 | Be able to simplify integrals using the properties stated on p. 738 | |
| 4/7/05 | Gateway exam III: Differentiation | See Gateways page for more information and practice problems. | |||
| 4/8/05 | Area function (23.1) Deadline for passing Gateway II |
§22.4 #1, 2, 3, 5, 6, 8 (Note #1 and #2 should be done using the properties and signed area.) [solutions] |
§23.1, particularly the "Big Picture" on p. 743 and Example 23.1 | Understand the area function and how it can also be interpreted as a net change function, Be able to find the area function for certain simple functions |
|
| 10 | 4/11/05 | Properties of the area function (23.2) | §23.1 #2, 3, 4; [solutions] |
§23.2, particularly Example 23.2 | Be able to determine characteristics of the area function (such as increasing/decreasing, concave up/down, extrema) given a graph of the original function, Explore the relationship between the area function and the original function. [Notes] [In-class worksheet] |
| 4/12/05 | Lab 5: Evaluating Area Functions | ||||
| 4/13/05 | Fundamental Theorem of Calculus I (23.3) | §23.2 #1, 2, 3 [solutions] |
§23.3, particularly the statement of the fundamental theorem on p. 758 | Understand the statement and the proof of the Fundamental Theorem of Calculus, part I [Notes] |
|
| 4/14/05 | Review Session: Science Center A from 7-9 pm | ||||
| 4/15/05 | Fundamental Theorem of Calculus II (24.1) | §23.3 #1, 2, 3, 4 [solutions] |
§24.1 | Understand the Fundamental Theorem of Calculus, part II and be able to use it to calculate definite integrals, find area under curves, and determine net change given rate of change [Notes] |
|
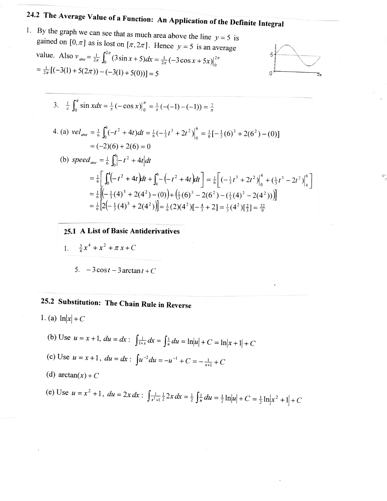
| 11 | 4/18/05 | Average value (24.2) and Antidifferentiation (25.1) | §24.1 #2, 5, 6, 8 [solutions] |
§24.2, particularly p. 777; §25.1, particularly the definition on p. 783 | Be able to calculate the average value of a function |
| 4/19/05 | Exam II: Science Center D from 7-9pm |
||||
| 4/20/05 | "Guess and Check" and Substitution I (25.2) | No homework | §25.2, particularly example 25.2 | Be able to use "guess and check" to find antiderivatives of certain functions, Understand the connection between the chain rule and the method of substitution, Be able to use substitution to find certain antiderivatives and definite integrals |
|
| 4/21/05 | Problem session | ||||
| 4/22/05 | Substitution II (25.3) | §24.2 #1, 3, 4; §25.1 #1, 5; §25.2 #1, 2, 3; [solutions page 1 solutions page 2] |
§25.3 | Be able to use the method of substitutions to find more complex antiderivatives | |
| 12 | 4/25/05 | Numeric approximation (26.1) | §25.1 #3, 7, 9; §25.2 #7, 10; §25.3 #1, 3, 5, 7 [solutions] |
§26.1, particularly example 26.1 | Understand why we need a method of approximating definite integrals, Be able to use Right-Hand, Left-Hand, Midpoint, and Trapezoidal sums to approximate definite integrals |
| 4/26/05 | Lab 6: Newton's Law of Cooling | ||||
| 4/27/05 | Introduction to differential equations (15.2) | §25.1 #19; §25.3 #2; §26.1 #2(b) and (c) only, 3, 4 [solutions] |
§15.2, particularly p. 298 | Understand the basic terminology of differential equations, Be able to determine whether a given function is a solution of a given differential equation, Be able to solve the differential equation y'=ky [Notes] |
|
| 4/28/05 | Lab or problem session | ||||
| 4/29/05 | Differential equations (31.1) Deadline for passing Gateway III |
§15.2 #1, 2, 3, 6, 9 | §31.1, particularly example 31.2 | Be able to write a differential equation which models a particular situation [Notes] |
|
| 13 | 5/2/05 | Slope fields and solution curves | §31.1 #1, 2, 3 [solutions] |
Handout | Be able to use a slope field to visualize a differential equation, Be able to sketch families of solutions to differential equations [Click here for dfield] |
| 5/3/05 | Lab 7: Effects of harvesting on populations of fish | ||||
| 5/4/05 | Qualitative analysis of differential equations (31.3) | Handout, #1, 4, 8, 9, 11, 13 | §31.3, particularly example 31.14 | Be able to do a qualitative analysis of an autonomous differential equation, even if you cannot find a solution, Understand logistic population growth | |
| 5/5/05 | Problem session | ||||
| 5/6/05 | Qualitative analysis and course wrap-up | §31.3 #1, 8, 9, 21 [solutions part 1 part 2] |
Page maintained by Angela Vierling-Claassen
(angelavc@fas.harvard.edu).
Last updated on
Thursday, April 28, 2005
.
Instructor's Toolkit