Spring 2005
Introduction to Functions and Calculus II
Home
> ReviewGuides
Home
Lecture Videos
Q&A Tool 2.0
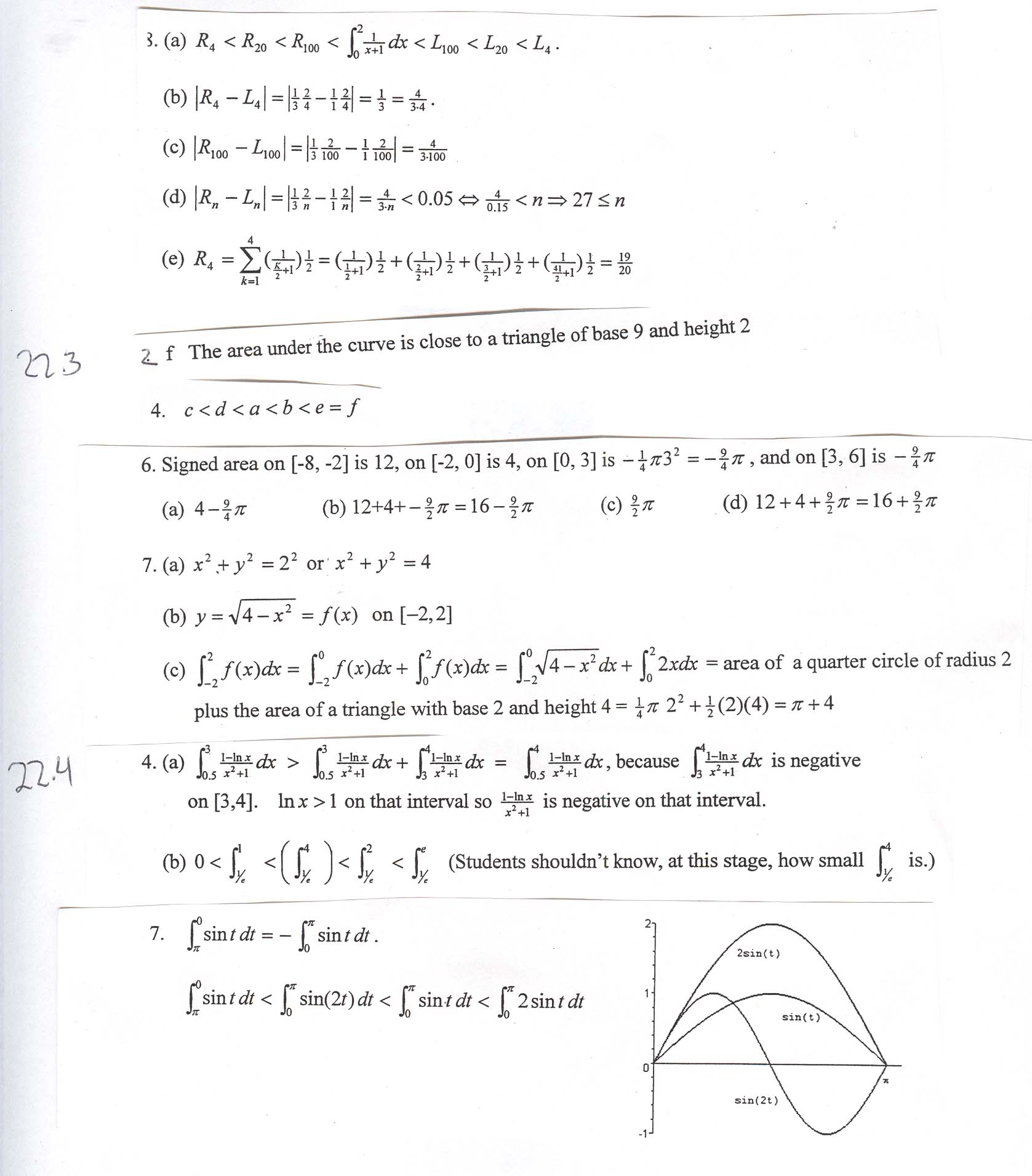
QA Images
Q&A Tool
ReviewGuides
chap17-18.pdf
chap17.pdf
chap19-20.pdf
chap23-25
final 2004.pdf
FinalExamReview1XbS05.pdf
FinalExamReview2XbS05.pdf
FinalExamReview3XbS05.pdf
finalsolutions.html
midterm1 2004.pdf
midterm2 2004.pdf
mt2sol1.pdf
mt2sol2.pdf
mt2sol3.pdf
mt2sol4.pdf
mt2sol5.pdf
mt2sol6.pdf
mt2sol7.pdf
mt2sol8.pdf
mt2sol9.pdf
revie22p1.jpg
review15p1.jpg
review15p2.jpg
review17p1.jpg
review17p2.jpg
review19p1.jpg
review19p2.jpg
review19p3.jpg
review20p1.jpg
review20p2.jpg
review20p3.jpg
review21a.pdf
review21b.pdf
review21p1.jpg
review21p2.jpg
review22a.pdf
review22b.pdf
review22p1.jpg
review22p2.jpg
review23.pdf
review23p1.jpg
review23p2.jpg
review23p3.jpg
review23p4.jpg
review25.jpg
review252p1.jpg
review252p2.jpg
review252p3.jpg
review252p4.jpg
review31p1.jpg
review31p2.jpg
review31p3.jpg
review final.pdf
review midterm1.pdf
review midterm2.pdf
review session midterm2.pdf
reviewf.jpg
ReviewMay12SY.PDF
ReviewMay15SY.PDF
TrigIdentities.pdf
URL: http://www.courses.fas.harvard.edu/~mathxb/ReviewGuides/
Copyright ©The President and Fellows of Harvard College