Page 107

« Menu »
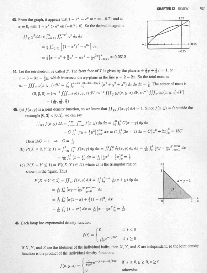
107.gif