Page 106
«
Menu
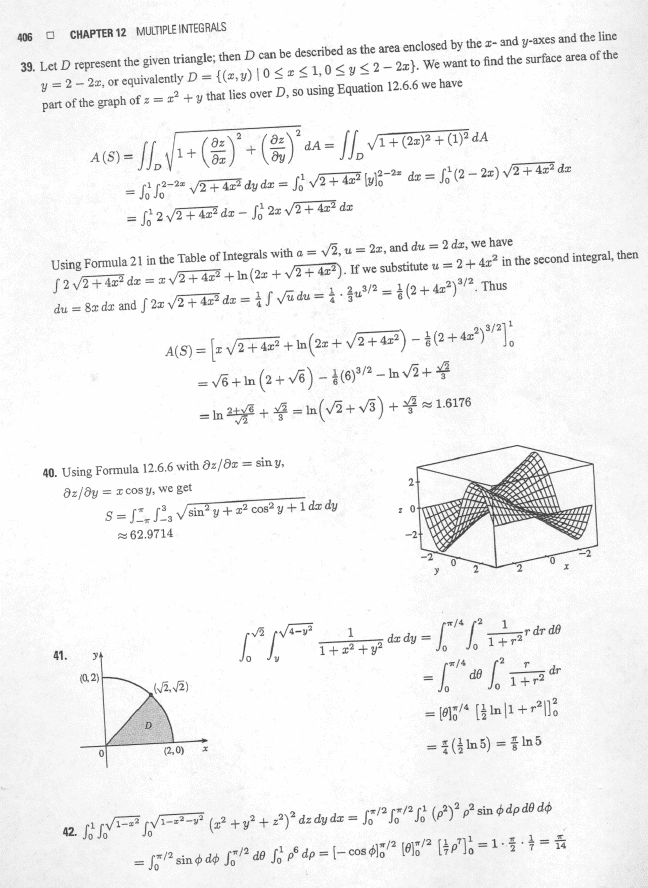
»