Math 113 Problem Sets
- Problem set 12 is due on Friday, December 12.
- Problem set 11 is due on Wednesday, December 10.
- Problem set 10 is due on Friday, November 21, at 5PM.
- Problem set 9 is due on Monday, November 17. Scans from Needham are available here, here, and here.
- Problem set 8 is due on Monday, November 10.
- Problem set 7 (HTML format) is due on Friday, October 31. Scans from Needham are available here and here.
- Problem set 6 is due on Friday, October 24.
- Problem set 5 (HTML format) is due on Friday, October 17.
- Problem set 4 is due on Friday, October 10.
- Problem set 3 (pdf format) is due on Friday, October 3. Scans are available here, here, and here.
- Problem set 2 is due on Friday, September 26. A scan of the exercises from Needham are available
here and here.
-
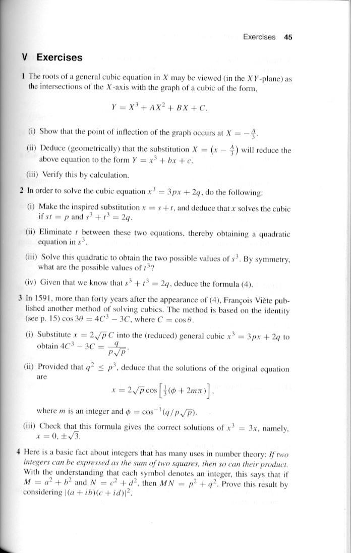
Problem set 1 is due on Friday,
September 19; a scan of the exercises from Needham are available
here. Note that formula (4) is the
formula for the solution of the cubic given in class: to solve
, use the formula
Solution sets
Solutions are available for Problem set 1, Problem
set 2,
Problem set 3,
Problem set 4, and
Problem set 5,
Last modified: Fri Dec 5 13:45:10 EST 2003