Math 21 a Math21a, Fall 2000
Course Head: Prof. Clifford H. Taubes
Dini surface: surface of constant negative curvature

Mainpage Syllabus Calendar Homework Exams Supplements Comput. assigns Links

Homework

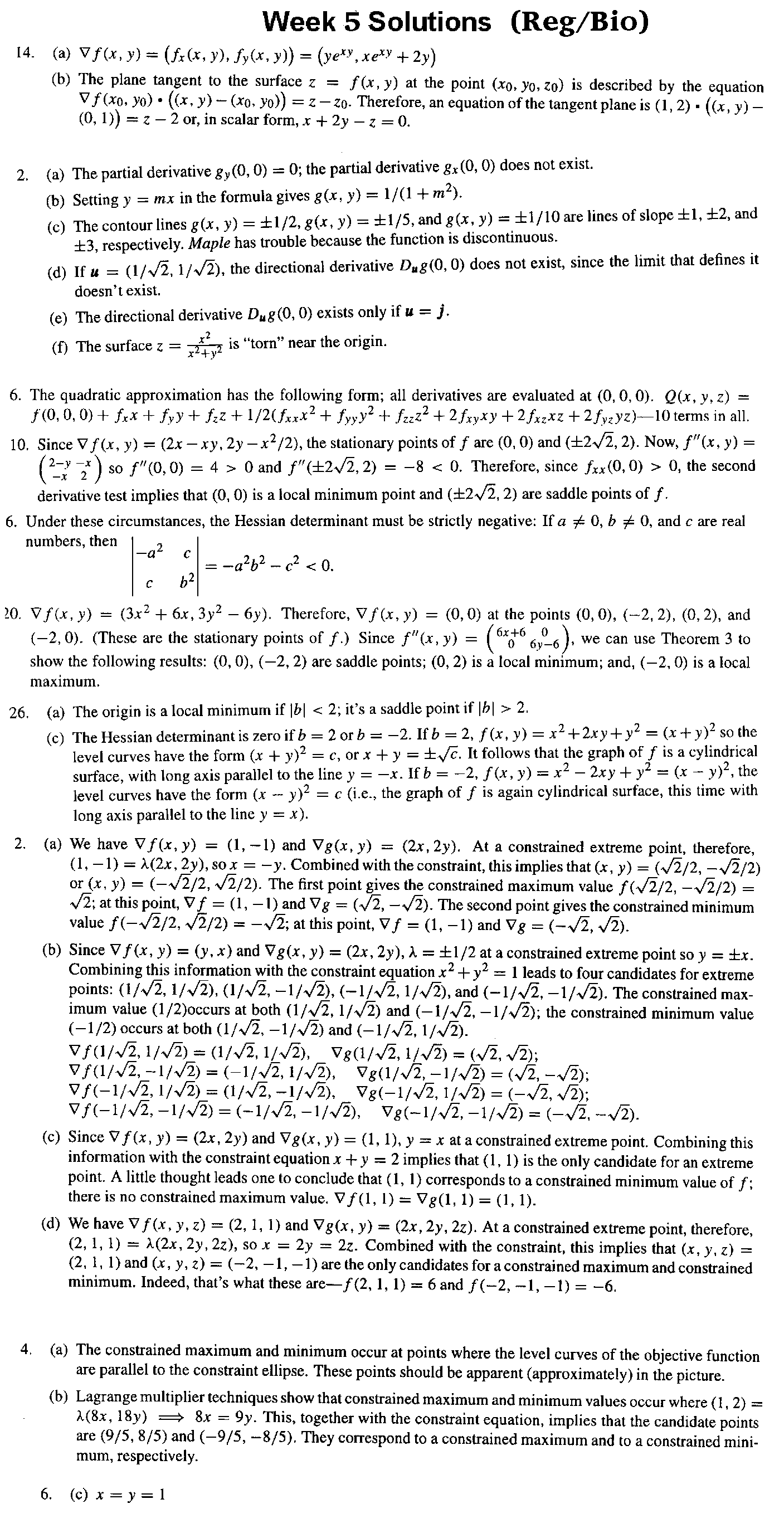
1. Week: 9/25-9/29 pgs. 12-15 number 2,16,18,26, pgs 25-27 number 4,8,12,14, pgs. 377 number 54,60, pg. 36 number 2,6, pg. 46 number 2 Solutions
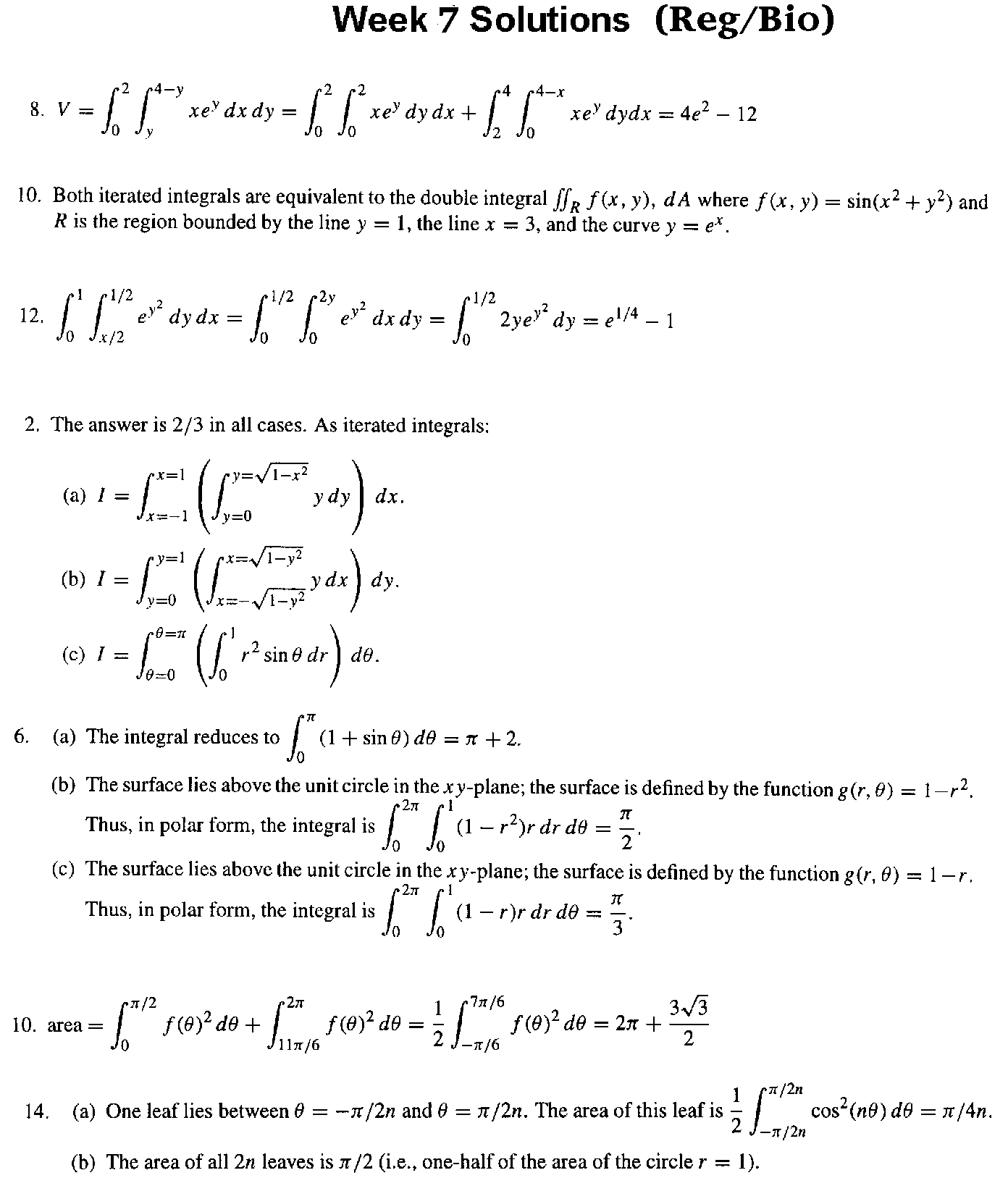
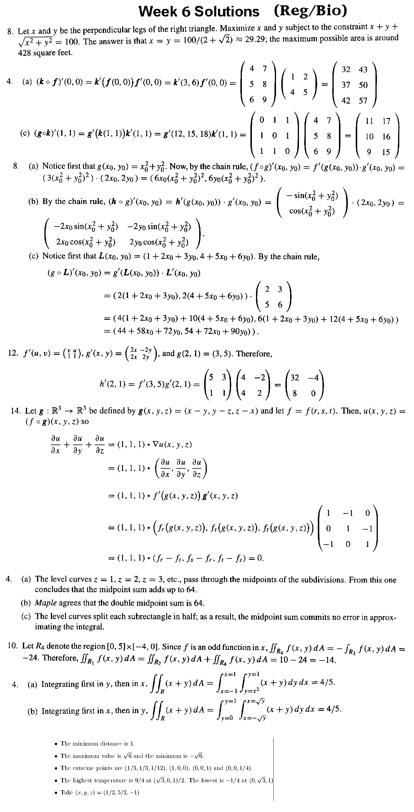
2. Week: 9/29-10/7 pgs. 46 number 4 pgs. 56-58 number 14,20,22 pgs. 69-74 number 10,16,20,22 pgs. 82-85 number 16,22,34 pgs. 90-93 number 10,22,26 Solutions
3. Week: 10/9-10/13
Regular/Biochem Physics
pgs 83-85 number 30 pg 92 number 16, 18 pgs 395 number 2,4,8 pgs 103-106 number 2a-c,6,12,14 pg 93 number 28 pgs 103-106 number 2a-c,6,12 pgs 115-118 number 4,12,16,18 pgs 254-255 number 2,6
Solutions (Reg/Bio) Solutions (Phys)
4. Week: 10/16-10/20
Regular+Biochem Physics
pgs 115-118 number 4,12
pg 124-127 number 4 (no technology),
14,18,20,22 pgs 134-136 number 2,8,12,16
pgs 263-264 number 2,6,8 pgs 124-127 number 2,4,14,18
Also do:
1) Let F=(2 x y 2 + 3 x2, 2 y x2). Compute the line integral of F along from (0,0) to (1,1) along the following curves:
a) The diagonal x=y
b) Along the x axis from x=0 to x=1, then from (1,0) to (1,1) along the line x=1
c) Along the y axis from y=0 to y=1, then from (0,1) to (1,1) along the line y=1
d) Exhibit a potential function for F and use the fundamental theorem for line integrals.
2) For each of the following, find values for the constants a,b which make the given vector field conservative:
a) F=(a x3 y + b y 2,x4+y x)
b) F=(sin(y) + b y cos(x),a x cos(y) + sin(x))
c) F=(a y e(xy) + y 2,-x e(xy) + 2 y xb)
d) F=(3 xa yb,4 x3 y3)
Solutions Regular/Bio , Solutions Phys , Solutions: Physics additional problems
5. Week: 10/23-10/27
Regular/Biochem Physics
pgs. 136 number 14 pgs. 140 number 2 pgs. 146 number 6 pgs. 156-159 number 2,8,10,16,20,26a,c pgs. 245-248 number 2,4,6 pg 127 number 20,22 pgs 134-136 number 2,8,10,12,14,16 pg 140 number 2 pg 146 number 6 pg 395 number 2,4,8 pg 93 number 28
Solutions Reg/Bio , Solutions Phys
6. Week: 10/30-11/3
Regular/Biochem Physics
pgs 247-248 #8 pgs 168-169 $4,8,12,14
pgs 179-182 #4a,c,10
pgs 191-193 #4 Also do:

1) Find the minimum distance from the surface x2+y2-z2=1 to the origin.
2) Find the maximum and minimum values of x+y-2z on the sphere x2+y2+z2=1.
3) Find the local extreme points of f(x,y,z)=xyz on the surface x+y+4 z=1.
4) Model the earth as the sphere x2+y2+z2=1. Suppose that the temperature at a point (x,y,z) on the surface is T(x,y,z)=x2-y2+z+1 in appropriate units. Find the points with the highest and lowest temperatures.
5) Suppose that the profit from Scooter sales is a function N of variables (x,y,z) that is given by N(x,y,z) = -4 x2+2xy-z2. Suppose as well that the values of (x,y,z) are not independent, but constrained by x+y+2z=1. What values of (x,y,z) should be used to maximize the profit?
pgs 179-182 #4a,c,10
pags 191-193 #4,8,10,12
Solutions Reg/Bio
Solutions Phys
7. Week: 11/5-11/10
(Due Thursday 11/16, rsp. Friday 11/17)
Regular/Biochem Physics
pgs. 192-193, number 8,10,12 pgs. 199-200, number 2,6 page 385, number 10,14 pgs. 179-182, number 4a,c 10 pgs. 191-193, number 4,8,10,12
Solutions Reg/Bio
Solutions Phys
8. Week: 11/13-11/17

(Due Tue 11/28 rsp. Wed 11/29 after Thanksgiving)
Regular Physics Biochem
pgs 207-208 number 2 (no tech), 10, 12 pgs 254-255 number 2, pages 263-364 number 2 (no tech), 6, 8
Also do: 1) Let F=(2 x y 2 + 3 x2, 2 y x2). Compute the line integral of F along from (0,0) to (1,1) along the following curves:
a) The diagonal x=y
b) Along the x axis from x=0 to x=1, then from (1,0) to (1,1) along the line x=1
c) Along the y axis from y=0 to y=1, then from (0,1) to (1,1) along the line y=1
d) Exhibit a potential function for F and use the fundamental theorem for line integrals.
2) For each of the following, find values for the constants a,b which make the given vector field obey the necessary condition stated as the fact on page 262 of the text to be a gradient:
a) F=(a x3 y + b y 2,x4+y x)
b) F=(sin(y) + b y cos(x),a x cos(y) + sin(x))
c) F=(a y e(xy) + y 2,-x e(xy) + 2 y xb)
pgs 199-200, number 2,6, pg 385 number 10,14, pgs 207-208 number 2 (no tech) 10,12 pgs 207-208 number 2 (no tech),10,12
Rosner, p.40-44 number 2.1,2.2,2.8,2.9,2.10,2.18
Solutions Solutions book problems (Reg) , and
additional problems (Reg) = Week 4 (Phys)
Solutions Phys .
Solutions Bio:
2.1) 215/25 = 8.6 days, median 8 days
2.2) variance 32.67, stand. dev 5.72, Range 27 Days
2.8) variance 0.39 diopters
2.9) variance 0.395, stand. dev 0.63 diopters
2.18) arithmetic mean: 8.8 mmHg rsp. 0.9 mmHg
median: 8 mmHg rsp. 1 mmHg
10. Week: 11/27-12/1
Regular/Physics Biochem
pgs. 273-275 # 2,8,10, pgs 279-280, # 2 4 pgs 286-287 #2 (skip plotting task), 4,6, pgs 292-293 #2,4
Also do:
1) Take a parameterized curve C: (f(u),g(u)), where g(u)>0 in the x-y plane and revolve it about the x-axis in space to create a surface (called a 'surface of revolution').
a) Show that X(u,v) = (f(u), g(u) cos(v), g(u) sin(v)) parameterizes the surface where v is in the interval [0,2 pi).
b) Sketch the surface of revolution in the case, where f(u)=u and g(u)=1 and also in the case, where f(u)=cos(u) and g(u)=sin(u)+2.
2) Find a parameterization for the surface obtained by revolving the curve y=exp(x) about the x-axis.
3) Find a parameterization for the surface, where x-y2+z4 y4=0.
4) Find a parameterization for the y>0 part of the surface, where y2-((x4+z4)8+1)=0.
5) Find the area of the part of the plane x+y+z=1, where x,y,z are all between 0 and 1.
6) Integrate the function f(x,y,z)=x-y over the part of the plane x+2y+3z=6, where x,y, and z all lie between 0 and 1.
Rosner: pgs 67-73, # 3.12, 3.15, 3.16, 3.17, 3 24, 3.25, 3.28, 3.76, 3.77, 3.78, 3.83, 3.89
pgs 108-110, #4.10, 4.14, 4.15, 4.20
Solutions Reg/Phys
Solutions Bio
11. Week: 12/4-12/8
Regular Physics Biochem
Week 11 (GIF) Week 11 (GIF) Rosner: pgs 109-110, #4.73-4.74, 4.81-4.83,
pgs 147-149, #5.6, 5.7, 5.41, 5.42, 5.44, 5.53, 5.61, 5.70
Solutions
12. Week: 12/11-12/15 The problems are on the Differential equations handout. Solutions

Suggested Extra Problems

Suggested extra problems for regular sessions
Suggested extra problems for physics sessions
Suggested extra problems for biochem sessions

Answers to selected problems in the Handout on Lagrange multipliers:
Answers to non-text book suggested problems for Section 5.7
Answers to non-text book Physics section suggested problems
Suggested problems for diff. eq lectures
Answers to above.

"Riding the Dini surface, (Click on the picture to see it big) ".

Last update, 12/21/2000