| Thesis [PDF]. |
Diss. ETH Nr. 10189
[Remark when putting online 2007: This is the introduction of the thesis together
with the references only. The mathematica code, which had been written on a Next in
Mathematica 2 or 3 is modified in the export part so that it runs today
with Mathematica 5.2.]
Abstract e-collection of ETHZ.
Entire thesis 410 pages Scanned PDF (OCR'd in 2012).
We showed for
that every
cocycle over an
aperiodic dynamical system can be perturbed
in
on a set of arbitrary small measure,
so that the perturbed cocycle has positive Lyapunov exponents. We applied these
results to show that coboundaries in
or
are dense.
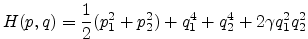
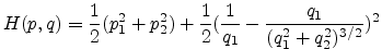
We proved, that Lyapunov exponents of
cocycles over an
aperiodic dynamical system depend in general in a discontinuous way
on the cocycle. We related the problem of positive Lyapunov exponents
to a cohomology problem for measurable sets.
We showed the integrability of infinite
dimensional Hamiltonian systems
obtained by making isospectral deformations of random Jacobi
operators over an abstract dynamical system.
Each time-
map of these so-called random Toda flows can be
expressed by a
decomposition.
We proved that a random Jacobi operator
over
an abstract dynamical system can be
factorized as
, where
is real and below the spectrum of
and
where
is again a random Jacobi operator but defined over
a new dynamical system which is an integral
extension.
An isospectral random Toda deformation of
corresponds to an
isospectral random Volterra deformation of
.
The factorization leaded to super-symmetry and commuting Bäcklund
transformations.
We showed that transfer cocycles of random Jacobi operators
move according to zero curvature equations, when the Jacobi operators
are deformed in an isospectral way.
We showed that every
cocycle over an aperiodic system is cohomologuous to a transfer cocycle of a
random Jacobi operator.
We attached to any
random discrete gauge field a random
Laplacian. From the density of states of this operator,
it can be decided whether the gauge field has zero curvature or not.
A cohomology result of Feldmann-Moore leaded to the existence of random
Harper models with arbitrary space-dependent magnetic flux.
We gave a new short integration of the
periodic Toda flows using the representation of the Toda flow as a
Volterra flow. We made the remark that the
Toda lattice with two particles is equivalent to the mathematical pendulum.
This gives a Lax representation for the mathematical pendulum.
We rewrote the first Toda flow as a conservation law for the Green function
of the deformed operator.
We described a functional calculus for abelian integrals obtained
by looking at an abelian integral on the hyperelliptic Toda curve
as a Hamiltonian of a time-dependent Toda flow.
By renormalisation of dynamical systems and Jacobi operators,
we constructed almost periodic Jacobi operators in

having
the spectrum on Julia sets
of the quadratic map
for real
with
large enough.
The density of states of these operators is equal
to the unique equilibrium measure
on
.
The set of so constructed random operators forms a Cantor set in
the space of random Jacobi operators over the von Neumann-Kakutani
system
, a group translation on the compact
topological group of dyadic integers which
is a fixed point of a renormalisation map in the space of dynamical systems.
The Cantor set of operators is an attractor of the iterated
function system built up by two renormalisation maps
.
We proved that a sufficient
conditions for the existence of a Toda orbit through a higher dimensional
Laplacian
is that
is not
a stationary point of the first Toda flow and that it is possible
to factor
, where
is a random Laplacian over an integral
extension.
Random Laplacians appeared in a variational problem which has as
critical points discrete random partial difference equations.
We considered differential equations in
which form a thermodynamic limit of cyclic systems of ordinary
differential equations.
We considered also infinite dimensional
dynamical systems
describing the motion of infinite particles with pairwise interaction.
The motion of random point vortex distributions can have a description
as a motion of Jacobi operators.
We constructed an analytic map
,
having a one-parameter family of two-dimensional real tori
invariant, on which
is
the Standard map family
.
We provided a rough qualitative picture of the dynamics of
and gave some arguments
supporting the conjecture that the metric entropy of the
Standard map
is bounded below by
.
We introduced a generalized Percival variational problem of embedding an
abstract dynamical systems in a monotone twist maps like for example the
Standard map
.
Using the anti-integrable limit of Aubry and Abramovici,
we showed that there exists a constant
such that
every ergodic abstract dynamical system
with
metric entropy
and
can be embedded in the twist map
. For such
,
the topological entropy of
is at least
.
Using a generalized Morse index,
the integrated density of states of the Hessian at a critical point,
we proved the existence of uncountably many different embeddings
of some aperiodic dynamical systems.
We studied several cohomologies for dynamical systems:
For a group dynamical system




(the abelian
group
is acting on the abelian group
by automorphisms)
there is the Eilenberg-McLane cohomology.
For a group dynamical system


we define
a sequence of Halmos homology and cohomology groups.
For an algebra dynamical system


or for an
group dynamical system


,
there is a discrete version of de Rham's cohomology.
We studied the hyperbolic properties of bounded
cocycles
over a dynamical system.
We investigated the relation between the rotation number
of Ruelle for measurable matrix cocycles and the hyperbolic behavior
of the cocycle. We showed that a cocycle is uniformly hyperbolic
if and only if the rotation number is locally
constant along a special deformation of the given cocycle.
We proved that the spectrum of a cocycle acting
on
is the same as the Sacker-Sell spectrum.
Wir zeigten, dass für
jeder
Kozyclus über einem aperiodischen dynamischen System
im Raum
auf einer Menge von beliebig
kleinem Mass gestört werden kann, so dass der
gestörte Kocyclus einen positive Lyapunovexponenten hat.
Wir wendeten dieses Resultat an, um zu zeigen, dass Koränder
dicht in
oder
liegen.
Wir bewiesen, dass Lyapunovexponenten von
Kozyclen über einem aperiodischen dynamischen System
im Allgemeinen unstetig vom Kozyclus abhängen. Wir
finden eine Beziehung zwischen dem Problem, positive
Lyapunovexponenten zu zeigen und dem Kohomolgieproblem
für messbare Mengen.
Wir zeigten die Integrabilität von unendlich dimensionalen Hamilton'schen
Systemen, die durch isospektrale Deformation von zufälligen
Jacobioperatoren über einem dynamischen System erhalten werden.
Die Zeit-1-Abbildung von diesen sogenannten zufälligen Todaflüssen
kann durch eine
-Zerlegung ausgedrückt werden.
Wir bewiesen, dass ein zufälliger Jacobioperator
faktorisiert werden kann als
, wo
reell und unterhalb
des Spektrums von
liegt und
wieder ein zufälliger Jacobioperator
über einer Integralerweiterung des alten Systems ist.
Einer isospektralen zufälligen Todadeformation von
entspricht eine
isospektrale zufällige Volterradeformation von
.
Die Faktorisierung führte zu Supersymmetrie und
kommutierenden Bäcklundtransformationen.
Wir zeigten, dass Transferkozyklen unter isospektraler Deformation
von zufälligen Jacobioperatoren sich gemäss Nullkrümmungsgleichungen
bewegen.
Wir zeigten, dass jeder
-Kozyklus über einem
aperiodischen dynamischen system kohomolog zu
einem Transferkozyklus eines zufälligen Jacobiopertators ist.
Wir adjungierten zu jedem diskreten
Eichfeld einen zufälligen Laplaceoperator dessen Zustandsdichte
entscheidet ob das Eichfeld Krümmung
Null hat oder nicht.
Ein Kohomologieresultat von Feldmann und Moore
führte zur Existenz von zufälligen Harpermodellen mit
beliebigem ortsabhängigem magnetischem Fluss.
Wir gaben eine neue kurze Integration des periodischen Toda Systems.
Wir machten eine Bemerkung, die
zu einer Lax-darstellung des mathematischen
Pendels führte.
Wir transformierten den ersten Todafluss als
Erhaltungssatz für die Greenfunktion des deformierten Operators.
Wir beschrieben ein Funktionalkalkül für abelsche Integrale
indem ein abel'sches Integrale auf
einer hyperelliptischen Todakurve als Hamiltonfunktion für ein
zeitabhängiges Todasystem betrachtet wurde.
Mittels Renormalisierung von dynamischen Systemen und Jacobioperatoren
konstruierten wir fastperiodische Jacobioperatoren in

,
die das Spektrum auf Juliamengen
der quadratischen Abbildung
haben.
Die Zustandsdichte von diesen Operatoren ist gleich dem
eindeutigen Gleichgewichtsmass
auf
.
Die Menge der so konstruierten zufälligen Operatoren bilden
eine Cantormenge im Raum der zufälligen Jacobioperatoren über
dem von Neumann-Kakutani-system
, einer
Gruppentranslation auf der kompakten topologischen Gruppe der
dyadischen ganzen Zahlen die ein Fixpunkt
einer Renormalisierungsabbildung im Raum der dynamischen Systeme ist.
Die Cantormenge von Operatoren ist ein Attraktor eines iterierten
Funktionensystems, das durch zwei Renormalisierungsabbildungen
gebildet wird.
Wir zeigten, dass eine
hinreichende Bedingung für die Existenz von einem Todafluss
durch einen höher dimensionalen diskreten Laplaceoperator
ist,
dass
nicht ein stationärer Punkt vom ersten
Todafluss ist und dass es möglich ist, eine Faktorisierung
zu machen, wo
ein zufälliger Laplaceoperator über einer
Integralerweiterung ist.
Zufällige Laplaceoperatoren gibt es in
einem Variationsproblem, dessen kritische Punkte durch
partielle Differenzengleichungen beschrieben werden.
Wir betrachteten Differentialgleichungen in
, die
einen thermodynamischen Limes von
zyklischen Systemen von gewöhnlichen Differentialgleichungen oder
die Bewegung von unendlich vielen Teilchen mit Paarwechselwirkung
beschreiben.
Die Bewegung von zufälligen Punktwirbelkonfigurationen
hat manchmal eine Beschreibung als Bewegung von einem Jacobioperator.
Wir konstruierten eine analytische Abbildung
,
die eine einparametrige Familie von zwei-dimensionalen reellen Tori
invariant hat, auf denen
die Standardabbildung
ist.
Wir machten eine grobe qualitative Beschreibung von
und gaben ein
paar Argumente, die die Vermutung unterstützen, dass die
metrische Entropie der Standardabbildung von unten
durch
abschätzbar ist.
Wir führten ein verallgemeinertes Percival'sches Variationsproblem zur
Einbettung von abstrakten dynamischen
Systemen in einer monotone Twistabbildung
ein.
Unter Benützung des
anti-integrablen Limes von Aubry und Abramovici
zeigten wir, dass für grosse
jedes ergodische abstrakte dynamische System
mit
metrischer Entropie
in die Standardabbildung
einbebettet werden kann. Für grosse
ist die topologische Entropie von
mindestens
. Unter Benützung eines verallgemeinerten
Morseindex bewiesen wir die Existenz von überabzählbar vielen
verschiedenen Einbettungen von dynamischen Systemen.
Wir studierten verschiedene Kohomologieen für dynamische Systeme:
Für ein dynamisches System




, wo
eine abelsche Gruppe
auf einer abelschen Gruppe
operiert, gibt es die
Eilenberg-McLane-Kohomologie. Im Falle

definierten
wir eine Folge von Halmos Kohomologie- und Halmos Homologie gruppen.
Für ein dynamisches System,


,
wo
auf der Algebra
mittels Spur erhaltenden
Algebraautomorphismen operiert,
definierten wir eine diskrete Version von de Rham's Kohomologie.
Wir studierten das hyperbolische Verhalten von beschränkten,
messbaren
-Kozyklen über einem dynamischen System.
Wir untersuchten die Relation zwischen der Rotationszahl von Ruelle
für messbare Matrixkozyklen und dem hyperbolischen Verhalten der
Kozyklen. Wir zeigten, dass ein Kozyklus uniform hyperbolisch ist,
genau dann wenn die Rotationszahl konstant ist in einer Umgebung
des Kozyklus.
Wir betrachteten auch verschiedene Spektren von Matrixkozyklen
und bewiesen, dass das Spektrum des Kozyklus als Operator
auf
gleich dem Sacker-Sell Spektrum ist.
Chapter "Three problems":
This chapter introduces into three circles of problems which
are treated in the theses.
Chapter "Density results for positive Lyapunov exponents":
A large part of this chapter is published in [Kni 2].
We added a proof of a similar result for
cocycles
and updated some references.
Chapter "Discontinuity and positivity of
Lyapunov exponent":
This is essentially the version in [Kni 1].
We added two appendices concerning
cohomology and a theorem of Baire.
Chapter "Isospectral deformations of random
Jacobi operators":
published in [Kni 3].
We added appendices in which the Thouless formula and integration
of aperiodic Toda lattices is shown. These results in the appendices
are known but not available in collected form.
We added a short appendix about the definition of
the continuous analogue of random Toda
flows, the random KdV system.
Chapter "Factorization of random Jacobi
operators and Bäcklund transformations":
published in [Kni 4].
We clarified one aspect in the published proof of the fact that Bäcklund
transformations are isospectral.
We also added a short appendix about Bäcklund transformations
for KdV flows.
Chapter "Cohomology of
cocycles and
zero curvature equations for random Toda flows":
This chapter can be viewed as part III of the two previous chapters.
It is quite inhomogeneous and leads to different topics like
zero curvature equations, lattice gauge fields, cohomology of cocycles
and Harpers Laplacian.
Chapter "Some additional results for random Toda flows":
This is a continuation and unpublished work of research done for
the previous chapters on random Jacobi operators.
Also this chapter is not homogeneous and
it has some loose ends.
Chapter "Renormalisation of Jacobi matrices:
Limit periodic operators having the spectrum on Julia sets":
A more compact version of this chapter will soon be submitted.
This chapter is a continuation of the study of one dimensional
Jacobi operators. Iteration of the factorization
constructed in [Kni 4] leads to "renormalisation" in the fiber bundle
of Jacobi operators over the complete metric space of dynamical systems.
Projecting this renormalisation to the spectrum of the operators leads to
the quadratic map
. Relations of random Jacobi operators
with complex dynamical systems appear like for example that the density of
states of the operators in the limit of renormalisation is the unique
equilibrium measure on the Julia set or that the determinant
is the Böttcher function for the quadratic map.
We hope that results from the theory
of iteration of rational maps will shed light on what happens
at points where the renormalisation set up breaks down.
Chapter "Isospectral deformations of discrete Laplacians":
We study higher dimensional Laplacians and isospectral deformations
of such Laplacians. We show that the existence of a Dirac operator
is related to isospectral deformations of Laplacians.
We consider also random partial differential equations over a
dynamical system. We use the anti-integrable limit of
Aubry to prove the existence of such equations.
An version of this
chapter is planned to be presented in July 1993 at Leuven.
Chapter "Infinite particle systems":
We study the idea to use ergodic theory in order to obtain the
thermodynamic limit of infinite particle systems in one real
or complex dimension. This generalization applies for
ordinary differential equations describing particles. One idea
is to get the particle coordinates
along the orbit of
a point
. The thermodynamic limit is then a well defined ordinary
differential equation in the Banach space of the coordinate field
.
An other idea is to look at a vortex configuration in the complex
plane as the spectrum of an operator and to describe the vortex flow
as a flow of operators.
Chapter "Embedding abstract dynamical systems in
monotone twist maps":
this chapter [Kni 6] was submitted in October 1992 to
Inventiones and in December 1992 to Ergodic Theory and Dyn. Syst. In both
cases the paper was not accepted. We take the opportunity to comment
on the results. The main point of the chapter is that it allows to give an
quantitative explicit bound on the topological entropy for
monotone twist maps. This is a new application of the anti-integrable limit
of Aubry and is (according to our opinion) an
interesting result. It has not been obtained by other methods and other
approaches (like finding homoclinic points) for
positive topological entropy are more complicated.
The use of the generalized Morse index
in the paper is also new. The multiplicity result of uncountably many different
embeddings has not been obtained by other methods.
Chapter "An analytic map containing the standard map family":
This chapter was submitted in October 1992 to Nonlinearity [Kni 5].
We formulate a quantitative conjecture
about the metric entropy of the standard map and show that the whole
standard map family can be embedded in one complex analytic
map of
. We begin a qualitative study of the map.
Chapter "Cohomology of dynamical systems":
In this chapter we discuss some cohomological constructions for
abstract dynamical systems with the aim to build algebraic invariants of
the systems. We think that interesting research in this direction
is still possible and necessary. The chapter illustrates that the
definition of the cohomologies is quite easy
but that the explicit computation of the cohomology groups seems to
be very difficult even in the simplest cases.
Chapter "Nonuniform and uniform hyperbolic cocycles":
In this chapter, we discuss the relation of uniform and nonuniform
hyperbolicity for cocycles. We study also the relation between Lyapunov
exponents and rotation numbers and the relation between Lyapunov
exponents and spectra of cocycles treated as operators.
This chapter was written in an early stage of the theses and does not
contain so much new material. It can be viewed as an appendix to the
first two chapters on matrix cocycles and one can find for
example detailed proofs of a
theorem of Ruelle and a theorem of Wojtkowsky in the special case of
measurable
cocycles.
The basic (sometimes hidden) mathematical structure appearing
in all the chapters is a non-commutative von Neumann algebra
obtained as a crossed product
of the von Neumann algebra

with the
- dynamical system
where
are commuting
automorphisms of the Lebesgue probability space
.
Spectra are obtained by choosing a representation of
in an algebra of operators and taking as the spectrum of an element
in
either the set of complex values
such that
is not
invertible or to define a spectrum by taking the set of points
, where
is not invertible. Choosing special cocycles (like for example
the Jacobean of a map,or the Koopman operator associated to an abstract
dynamical system) leads to invariants
of the dynamical system.
Ergodic invariants
are numbers obtained by ergodic averaging. Examples
are the Lyapunov exponent, the rotation number or the total curvature
of a cocycle or field.
Choosing special cocycles leads to invariants of the dynamical system
like for example the entropy or the index of an embedded system.
(Co)homology groups
or Moduli spaces
of conjugacy
classes of a subset in
give algebraic informations about
a dynamical system. Examples are cohomology groups

defined by the quotient of all cocycles with values in the group
modulo the space of coboundaries.
The elements in
we are going to study are:
is called a matrix cocycle over the abstract dynamical
system
. Such cocycles appear as transfer cocycles
of one dimensional
discrete Schrödinger operators, as Jacobeans of diffeomorphisms
on compact two dimensional manifolds and which are also called weighted
composition operators or weighted translation operators.
are called one-forms,
or connections or non-abelian gauge fields.
is a discrete version of a
one dimensional Schrödinger operator. Such operators serve as models
in solid state physics. They appear also as Hessians of variational
problems in monotone twist maps. For general
, they are called
Jacobi operators on a strip.
is a discrete version
of a Laplace operator. We call it random Laplace operator.
We allow also
.
The title of the theses could also be "Some topics about Lyapunov exponents"
because
Lyapunov exponents will appear in almost all chapters, sometimes with other
names. They are connected with
the "entropy" of a dynamical system,
the "determinant" of a random Jacobi operators,
"integrals" of random Toda flows,
the "Hamiltonian" used for the interpolation of Bäcklund transformations,
the "energy" of a random Coulomb gas in two dimensions,
the potential theoretical "Green function" of some Julia sets,
the logarithm of a "spectral radius" of a weighted composition operator,
some "gauge invariants" of random gauge fields.
We will formulate in the first chapter three problems which should give
a first comment on the key words "ergodic invariants, spectral invariants,
cohomological invariants" in the title.
A guiding idea for the whole theme is the following analogy
between differential topology on
manifolds and the ergodic theoretical concepts treated here.
If we think of the probability space
as a manifold, the
group action defines a geometry on this space. The orbit of a point
is a lattice is playing the role of a chart at the point and the set of all
orbits serves as an atlas.
or a multiplicative subgroup
corresponds to a fiber bundle. The
crossed-product
is an operator algebra playing the role of
differential operators and contains objects like Laplacians or
connections.
The classification of differentiable manifolds is analogous to the classification of group actions. Spectral problems of differential operators, numerical or cohomological invariants of manifolds are analogous to spectral problems of random operators, ergodic and cohomological invariants of dynamical systems.
"Is there positive metric entropy ("chaos") in a given conservative
dynamical system?"
One of many definitions of "chaos" in a Hamiltonian system is the property of having positive metric entropy. Hamiltonian systems with this property show sensitive dependence on initial conditions on a set of positive measure. Moreover, one can find quantities accessible to measurements which are actually independent random variables. The system could be used as a true random number generator !
(We refer to
the Les Houches Lecture of Lanford [Lan 83],
the Bernard Lecture [Rue 90] or the Lezioni Lincee [Rue 87]
of Ruelle for an introduction into some of the topics.)
From the physical point of view, there is evidence that chaos is the
rule and zero metric entropy is the exception. The entropy has been measured in
many systems and found to be positive. It seems, however, that
mathematical proofs
for chaos are difficult. It could even be that
most measurements show numerical artifacts and that positive metric
entropy is the exception.
There are milder requirements for a system
to belong to the fashion class of "chaotic systems". One of these is
positive topological entropy
which is easier to prove. For topological dynamical systems, there
is a definition of chaos due to Devaney [Dev 89]
which requires that the homeomorphism
of the metric space is (i) transitive and (ii) that periodic orbits are dense.
(A third requirement of Devaney, sensitive dependence on initial conditions,
turned out to follow from the requirements (i),(ii) if the system is not itself
periodic [Ban 92].)
We want to insist on
positive metric entropy as the more relevant quantity for Hamiltonian
systems. It is based on the belief, that physically significant
quantities for Hamiltonian systems
must be accessible on sets of positive measure. Also
from a mathematical point of view it is not satisfactory to use a quantity
like topological entropy from the category of topological dynamical
systems when having a natural invariant measure, the Lebesgue measure.
(Of course, invariant
sets like periodic orbits or horse-shoes, which have in general zero
measure, can also have consequences for sets of positive measure. For example,
invariant curves of zero measure can form barriers in a two
dimensional phase space and prevent ergodicity.)
The answers to the following general problems in classical mechanics
are not known. (We assume implicitly
that the Hamiltonian systems considered have a compact energy surface and
that the entropy is understood with respect to the flow on such a surface.)
How does one decide if a given finite dimensional Hamiltonian system
has positive metric entropy or not?
How big is the class of Hamiltonian systems having positive metric
entropy? Does positive metric entropy occur generically?
Does every non-integrable Hamiltonian system have positive
metric entropy?
Does there exist Hamiltonian systems which have positive topological
entropy but zero metric entropy?
Does there exist a Hamiltonian system in which true coexistence
occurs? ([Str 89]) True coexistence means that a part of
phase space is the union of two flow-invariant dense subsets both
having positive Lebesgue measure such that the metric entropy of the flow
is zero on the first subset and positive on the other subset.
The main obstacle in solving the above problems is that proving positive
metric entropy is a hard problem. Because a formula of Pesin shows that
in many cases the entropy is the sum of the integrated positive Lyapunov
exponents,
the problem of positive metric entropy is often
equivalent to prove that there are positive Lyapunov exponents on a set
of positive measure.
There are several examples, where positive metric entropy is
conjectured but not proven (compare [Str 89]). From special
interest is the example of our solar system, where positive metric entropy was
also measured [Las 90]. (See also the review article [Wis 87] for
chaotic motion in the solar system.)
We will give now a list of
examples which include discrete Hamiltonian systems (which are mappings) and
classical Hamiltonian systems (which are flows). We consider also
conservative dynamical systems, flows or maps which leave the
Lebesgue measure invariant but which need not to be Hamiltonian.
the entropy is measured to be greater or equal then
.
Some orbits of the map are shown with the following Mathematica program
which produced a little "film" which shows the situation for larger and
larger "coupling constant"
.
T[{x_Real,y_Real},g_Real]:=N[Mod[{x+y+g*Sin[x],y+g*Sin[x]},2 Pi]];
Orbit[p0_,n_Integer,g_Real]:=Module[{},S[p_]:=T[p,g];NestList[S,p0,n-1]];
OrbitSet[k_Integer,n_Integer,g_]:=Module[{s={}},
Do[s=Union[s,Orbit[{0.0,N[2Pi*((Sqrt[5]-1)/2+(i-1)/k)]},n,g]],{i,k}];s];
Pict[k_,m_,g_]:=ListPlot[OrbitSet[k,m,g],PlotRange->{{0,N[2Pi]},{0,N[2Pi]}},
DisplayFunction->Identity,Frame->True,Axes->False,FrameTicks->None,
FrameLabel->{g,"","",""}];
Film[kk_,mm_,ll_]:=Table[Pict[kk,mm,0.0+N[(jj-1)/4]],{jj,ll}];
Show[GraphicsArray[Partition[Film[7,300,12],3]],
DisplayFunction->$DisplayFunction,Frame->False];
|
| Scan of the actual thesis introduction |
If one considers the Jacobian
of the map
as a
cocycle over the dynamical system
and calculates
the Lyapunov exponent of this cocycle, one gets indeed with a method
developed by M.Herman) the lower bound
.
But it is an unsolved problem whether there exists a value
such that the metric entropy is positive for the standard map
.
(This entropy problem has been mentioned already in [Spe 86]).
For the topological entropy more is known:
there is a result of Angenent [Ang 92] which states that
a
twist diffeomorphism of the annulus has either positive
topological entropy (and therefore a transversal homoclinic point)
or else has invariant circles for any rotation number in the twist interval.
In [Ang 90] is shown that for
, there must be positive topological
entropy. Fontich has also shown [Fon 90], that for
the
standard map has a heteroclinic point and therefore a horse-shoe
embedded and one has therefore positive topological entropy. In the
chapter "Embedding of abstract dynamical systems in monotone twist maps",
we will show that for
large enough the topological entropy
of the Standard map is at least
.
where
.
One measures positive metric entropy with values like for example
.
Other candidates are
billiards, where the curve consists of
arcs (see [Hay 87]) or the Benettin-Strelcyn Billiard
[Ben 78],[Hen 83].
The following Mathematica program allows the numerical calculation of
a dual billiards with arbitrary real analytic table. The program calculates
and plots a picture of 20 orbits each consisting of 1000 points.
a={1.0,0.0,0.0,0.0,0.0,0.0,0.01,0.001};
r[t_]:=Sum[a[[n]] Cos[(n-1)*t],{n,Length[a]}];
rdot[t_]:=Sum[-a[[n]]*(n-1)*Sin[(n-1)*t],{n,2,Length[a]}];
BilliardMap[{x_,y_}]:=Module[{psi=Arg[x+I*y],eta},
eta=t/.FindRoot[ (r[t]*Cos[t]-x)*(rdot[t]*Sin[t]+r[t]*Cos[t])==
-(r[t]*Sin[t]-y)*(-rdot[t]*Cos[t]+r[t]*Sin[t]),{t,psi+Pi/2}];
{-x+2*r[eta]*Cos[eta],-y+2*r[eta]*Sin[eta]}];
T=ParametricPlot[{r[t]*Cos[t],r[t]*Sin[t]},{t,0,2 Pi}];
Orbit[p_,n_]:=NestList[BilliardMap,p,n];
OrbitSet[n_,m_]:=Module[{s={}},
Do[s=Join[s,Orbit[{1.0+i*0.05,0.0},n]],{i,m}];s];
OrbitSetPict[n_,m_]:=ListPlot[OrbitSet[n,m],DisplayFunction->Identity];
JoinedPict[n_,m_]:=Show[{T,OrbitSetPict[n,m]},
PlotRange->All,Frame->True,Axes->False];
Show[JoinedPict[1000,20],Frame->True,AspectRatio->1];
|
of the form
![]() |
is a continuous function
.
Examples are the Henon map
, the Lozi map
or the map given by
. The
entropy question makes sense when these maps are restricted to
a measurable invariant subset of
which has finite nonzero
Lebesgue measure. For
, Aharonov and Elias
[Aha 90] have shown the existence of invariant curves far away
(even for a more general case when
is the composition
of two such maps with possibly different
).
It seems however (a conjecture of H.Cohen communicated by Y.Colin-de Verdier
to J.Moser April 10 1993)
that the map with
is integrable! (For
there is an additional
integral
).
For the Lozi map, it is known that it has positive
metric entropy for example for
[Dev 84].
Nothing about the metric entropy
seems to be known for the conservative Henon map.
It is not known if one can deform this Anosov map
to a system which has
zero metric entropy. It would also be interesting to know
what happens at the boundary, where the system looses uniform hyperbolicity.
The Henon Heils system
: [Hen 64]
on the energy surface
with
is a famous example of a Hamiltonian system with two degrees
of freedom.
The Störmer problem (see [Bra 81])
:
for energies
is an example of great physical interest
because it describes the motion of electrons and protons in
the van Allen radiation belts.
It would be desirable to know more about this system.
There are mathematical proofs that particles can be trapped for ever
[Bra 81],
but one still does not know why the actual existing van Allen belts
around the earth are so stable. Numerical experiments indicate that the system
shows chaotic behavior. Braun has proved that a related discrete
model problem, a so called linked twist map
has homoclinic points [Bra 81a]).
The Contopoulos,Barbanis system [Con 89]
or the Caranicolas-Vozikas system [Car 87]
for
,
, or the
Sahos-Bountis system
are interesting because of the simplicity of their Hamiltonians.
Unequal mass Toda system:
for
. For
the system is integrable and
is related to the physical pendulum.
The planar isosceles 3 body problem (see for
example [Dev 80])
Here
are the masses of the body.
is the distance
from
to
which are lying symmetric with respect to the
axes.
is the distance from the center of mass of
and
to
.
Riemannian metric, for which the geodesic
flow is ergodic and has positive metric entropy.
The Orszag-McLaughlin flow
is given by the differential equation
where the index
is taken modulo
with
.
If one takes
and
,
this system preserves the Lebesgue measure and leaves
invariant the spheres
The measurements indicate that the dynamics restricted to such spheres is chaotic.
The Arnold-Beltrami-Childress flow
or ABC-flow (see [Zha 93] for more information)
is a flow on
defined by
![]() |
![]() |
![]() |
|
![]() |
![]() |
![]() |
|
![]() |
![]() |
![]() |
are nonzero constants.
More generally with given real numbers
, a system of
differential equations is given by
where
and
is taken modulo
. This system preserves
Lebesgue measure on the torus
.
,
and
. For
the differential equation
generalizes the motion of the heavy top in any dimension. For
one obtains the motion of the free
dimensional top which is an integrable system
and can be viewed as a geodesic flow on the Lie group
(see [Arn 89]).
For
, one expects to have positive metric entropy in general.
vortices
in the complex
plane
is
For
the system is integrable.
For
one expects that the dynamics
has positive metric entropy. Point vortices can also be defined on any two dimensional manifold. Interesting is the situation on the cylinder which is also called the periodic Karman vortex street. The Hamiltonian is in this case
We summarize: for conservative dynamical systems the problem of positive metric entropy is often reduced to the decision whether the highest Lyapunov exponents for symplectic cocycles is positive or not (the flow case can be reduced by a time-one map or a Poincaré map to the case when time is discrete). Calculating the highest Lyapunov exponent of a general measurable symplectic cocycle over an abstract dynamical system is an example of an ergodic problem.
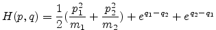
Does a given 1-dimensional Schrödinger operator
of an electron have absolutely continuous spectrum ("good conductivity")?
In classical quantum mechanics, the evolution of a system is governed by
a Hamiltonian
which is a self adjoint operator on a
Hilbert space. The evolution of a wave function
is given by the
Schrödinger equation
.
An important problem is to calculate and
analyze the spectrum of the Hamiltonian because many physical
properties of the system are determined by the spectrum. Because
the spectrum is accessible by measurements, one would also like
to solve the inverse problem, namely to find out the Hamiltonian
of the system from the spectrum.
These mathematical problems are not easy even for the motion of
a particle in one dimension in a given external field.
In such a one body approximation
one neglects the interaction of
the electrons. One often
considers the so called tight binding approximation,
where the continuum is replaced by a lattice. This is
technically more simple and the model is commonly used for describing
the electronic properties of disordered media.
An important qualitative spectral problem is the question whether
the spectrum is absolutely continuous or not. For one-dimensional
Laplacians or Laplacians on the strip,
this question can be reduced to a question about positive Lyapunov
exponents for symplectic cocycles.
A main problem is:
Given a random Schrödinger or Jacobi operator
.
?
There is an inverse spectral problem which is however closely related to the
above spectral problem. It can be formulated as:
Can one describe the set of all Jacobi operators which are unitarily
equivalent or the set of operators which have the same density of
states. Can one
reconstruct the isospectral set back from the spectrum. How large is the set
of operators which one can reach by isospectral deformations?
Similarly to the positive entropy question, which has the same mathematical
problem in the background, there are several
examples, where absence of absolutely continuous spectrum is
conjectured but not proved. The general belief is that
for high disorder, there is no absolutely continuous spectrum
any more. A more precise formulation of this conjecture could be:
Given any aperiodic dynamical system
such that
is ergodic for each
. Given a one-
parameter family of random Schrödinger operators
with non-constant potential
and
with
.
Does there exist
, such that
has no absolutely continuous spectrum?
We list now some classes of operators.
where
are non-constant independent identically distributed
random variables. Fürstenberg's theorem assures
positive Lyapunov exponents for all
and there is
no absolutely continuous spectrum.
Almost periodic operators.
Let
be an ergodic translation of a
compact topological group
and
two continuous real-valued functions
.
Given
, define
.
The operator
is called almost periodic.
Example. If the group
is the circle and
is an irrational
rotation
and
,
one obtains the almost Mathieu operator
This is a famous model for an electron in a quasi-crystal. About the spectrum
is known that for
the absolutely continuous
spectrum
is not empty. For almost all
,
the measure of the absolutely continuous spectrum is
. This was proved recently by Last [Las 93] following previous
work of Avron, van Mouche and Simon [Avr 90]. The general conjecture of
Aubry and André
that this should hold for any irrational
is still not proved.
For large
, one knows that in the case of Diophantine
,
there is point spectrum [Fro 90] and that for Liouville numbers
and any
, there is purely singular continuous spectrum (see [Cyc 87]).
For any irrational
,
there is no absolutely continuous spectrum for
.
In general, the question is open, whether for
irrational
and all
, the spectrum is a Cantor set
(Martini problem).
In the critical Hofstadter case
, which
is also called Harper's model, Last has recently shown [Las 93]
that the spectrum is in this case a zero measure Cantor set
for almost all
.
Plotting the family of spectra parameterized by
gives the
Hofstadter butterfly. A review with other developments can
be found in [Bel 92].
A numerical illustration.
The periodic functions
on
are fixed and the
spectra of the operators
over dynamical system
are calculated
with the following program:
a[alpha_,n_]:=Table[N[2+0.01*Sin[k*alpha 2 Pi]],{k,n}];
b[alpha_,n_]:=Table[N[ 2*Cos[k*alpha 2 Pi]],{k,n}];
m[i_,n_]:=Mod[i-1,n]+1;
d[k_,l_,n_]:=IdentityMatrix[n][[m[k,n],m[l,n]]];
JacobiMatrix[a_,b_]:=Module[{n=Length[a]},
Table[d[k,i,n]*b[[k]]+d[k,i+1,n]*a[[i]]
+d[k,i-1,n]*a[[m[i-1,n]]],{k,n},{i,n}]];
Spec[a_,b_]:=Sort[Eigenvalues[JacobiMatrix[a,b]]];
anti[a_]:=Block[{n=Length[a]},Table[a[[k]]-2*d[k,n,n]*a[[k]],{k,n}]];
AntiSpec[a_,b_]:=Sort[Eigenvalues[JacobiMatrix[anti[a],b]]];
DoubSpec[a_,b_]:=Sort[Join[Spec[a,b],AntiSpec[a,b]]];
SpecInterv[a_,b_]:=Partition[DoubSpec[a,b],2];
Hofstadter[m_,n_]:=Block[{p={},S,alpha=0.0},
Do[S=SpecInterv[a[alpha,n],b[alpha,n]];
Do[p=Append[p,Line[{{S[[i]][[1]],alpha},{S[[i]][[2]],alpha}}]],
{i,Length[S]}];alpha=alpha+1/m,{m+1}]; Show[Graphics[p]] ];
Hofstadter[200,23];
|
(which is increasing along the x-axis) of the dynamical system is varied.
Operators generated by substitutions.
A substitution dynamical system (we follow [Hof 93]) is defined by a map
from a finite alphabet
into the set of finite words
built by
. This substitution generates a fixed point
of the map
if there exists a symbol
such that
begins
with
. Take any word
which coincides
with
on the positive integers and form the set
of
all limit points (in the product topology) of
,
where
is the shift. This gives a dynamical system
which is
uniquely ergodic and minimal. The potential
for the Jacobi operator
is
.
The spectrum is expected to be singular continuous in
general and having zero Lebesgue measure. This has been proved for
the Thue-Morse systems defined by
,
or Fibonacci sequences defined by
,
and other examples.
Kotani [Kot 89] dealed in a more general context with potentials
over an ergodic dynamical system which take values only in a finite
target space. He proved that in such a case, there is no absolutely continuous
spectrum. See [Hof 93] or [Ghe 92] for references and recent results.
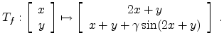
Operators which are second variations of twist mappings
If
is a generating function of a twist map and
is a dynamical system embedded in the twist map by a measurable function
which satisfies
The operator
with
![]() |
![]() |
![]() |
|
![]() |
![]() |
![]() |
We summarize: for one-dimensional discrete Schrödinger operators (on the strip), the problem of existence of absolutely continuous spectrum is reduced to the decision whether the highest Lyapunov exponent for a one parameter family of symplectic cocycles is positive or not. Calculating the spectrum of random operators or cocycles over an abstract dynamical system is an example of a spectral problem.
"
What is the cohomology group defined as
the group of measurable sets of a probability space modulo the
sets of the form
, where
is an automorphism of
the probability space?
"
Given an aperiodic ergodic automorphism
of the Lebesgue space


. The measurable sets
are
called cocycles and
form an abelian group with multiplication
. This group has the subgroup


of coboundaries. How big is the cohomology group





We call the problem the cohomology problem for measurable sets. An other problem is to decide whether a given measurable set is a coboundary or not. We call this problem the coboundary identification problem for measurable sets. We will see in the chapter "Discontinuity and positivity of Lyapunov exponents" that solving this problem is easier than calculating Lyapunov exponents.
For finite periodic dynamical systems, the problem can be solved:
assume
is a finite set and
is the set of subsets of
.
An ergodic measure preserving map
is just a cyclic
permutation of
.
The group
consists of all subsets of
and has
elements.
It is quite easy to see that
consists exactly of the
sets with even cardinality.
In this case




is isomorphic to
.
There are a lot of other related unsolved questions. For example, there is
a conjecture of Kirillov:
assume two automorphism of a fixed probability
space
have the same measurable sets as coboundaries.
Are they conjugate?
The cohomology problem for measurable sets can be generalized
as a question in group theory:
let
be an arbitrary abelian group and
a group automorphism.
What is the group






, where


Let
be a
action. A generalization of
the cohomology problem for sets is to find the moduli space
of all zero curvature
fields.
A gauge field
is given by
measurable sets
. The space
of
all fields is the d-fold direct product of the group of
all measurable sets. The curvature
of such a gauge field
is
A field
has zero curvature
if
for all
. There is a subgroup of
called the group of gradients


On
are defined the Gauge transformations
The gradients are just the fields which can be gauged to the identity.





We have used only the additive group structure of the measurable
sets. Taking the ring structure also gives also interesting problems
which lead more away from the subject. The problem is however of the
same type.
As an example we consider a random version of a
nonlinear cellular automata
recently studied by Bobenko, Bordemann, Gunn and Pinkall
[Bbgp 92]. It is an "integrable" system and
the evolution can be interpreted as a collision process of
soliton like particles. The cellular automata can be described
as a
-valued field
on a two-dimensional lattice
satisfying the rule
dynamical system
. Assume we have given a measurable set
satisfying
. For almost all
we can write
and get from Equation 2 the rule 1.
Equation 2 is equivalent to
The problem is to find nontrivial sets satisfying this equation. Is there for any cellular automata rule
where
is one of the
possible functions
a measurable set which solves it?
An abstract generalization of the cellular automata
is obtained as follows. Let


be a commutative ring
over the field
. Given two automorphism
of this ring. Use the notation
for
.
The question is if there exists a non-zero ring
element
satisfying
In this case, every ring element
describes the
cellular automata BBGP.
In the two-dimensional BBGP automata, the time axis is given by the
transformation
and in a natural way, the propagation of
particles can't be bigger then the "speed of light"
.
A natural generalization to three dimensions would be a rule
where
should be symmetric with respect to permutations of
and cyclic substitutions
We summarize: the cohomology identification problem would be solved
if we could calculate the Lyapunov exponents of symplectic cocycles.
Cohomology problems over an abstract dynamical system
with structure group is
lead to interesting questions.
The general problem of calculating the
cohomology groups
is an example of a cohomology problem.
theory of
algebras in solid state physics.
algorithm and the
center manifold theory.
.
.
and their
periodic orbits.
cocycles.
cocycles:
Discontinuity and the problem
of positivity.