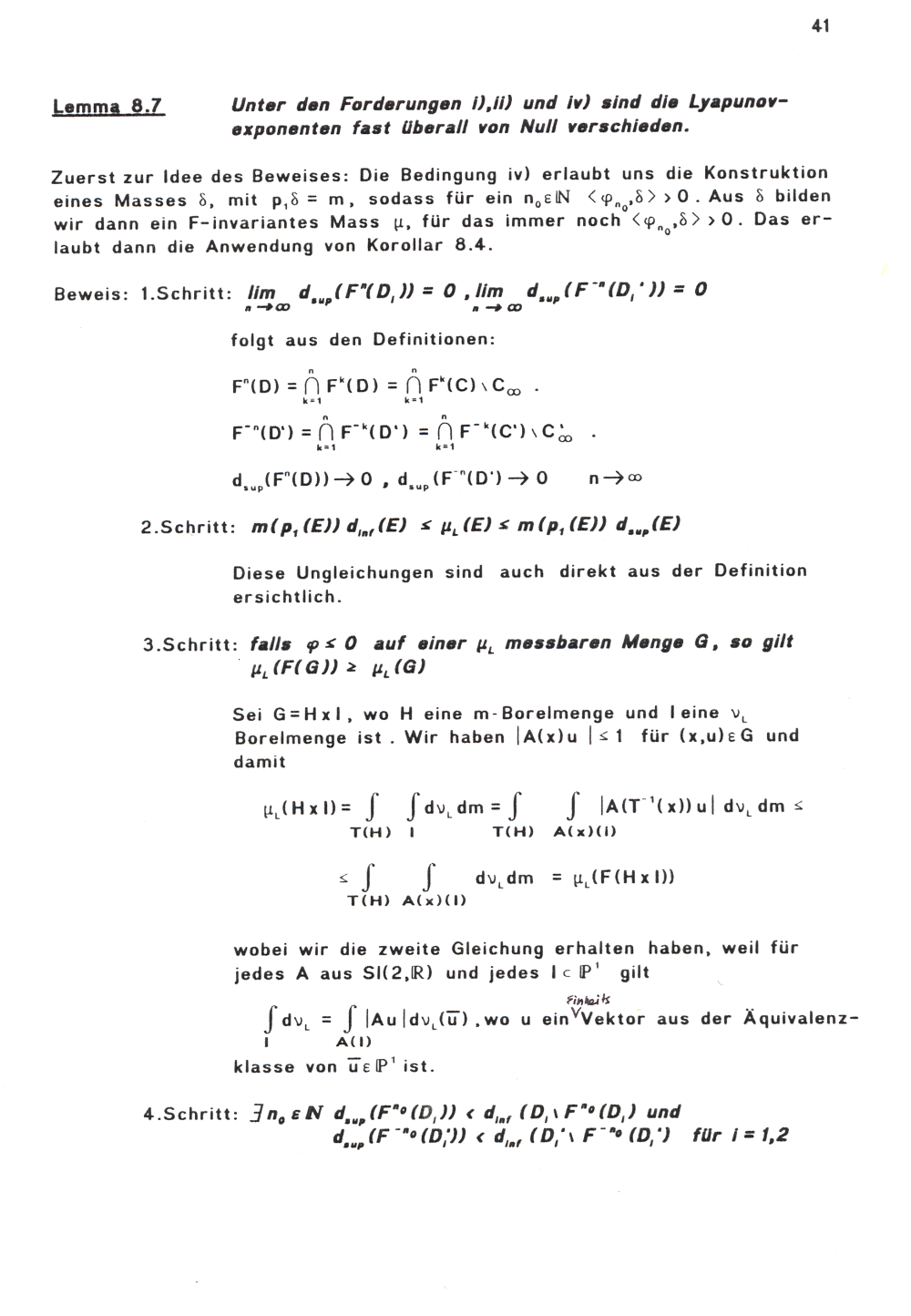
Page 1044 Thumbnail Click on the picture to move forward