n n n n n n n n n n n Solutions to Problem Sets § Mathematics Xb

Mathematics Xb™

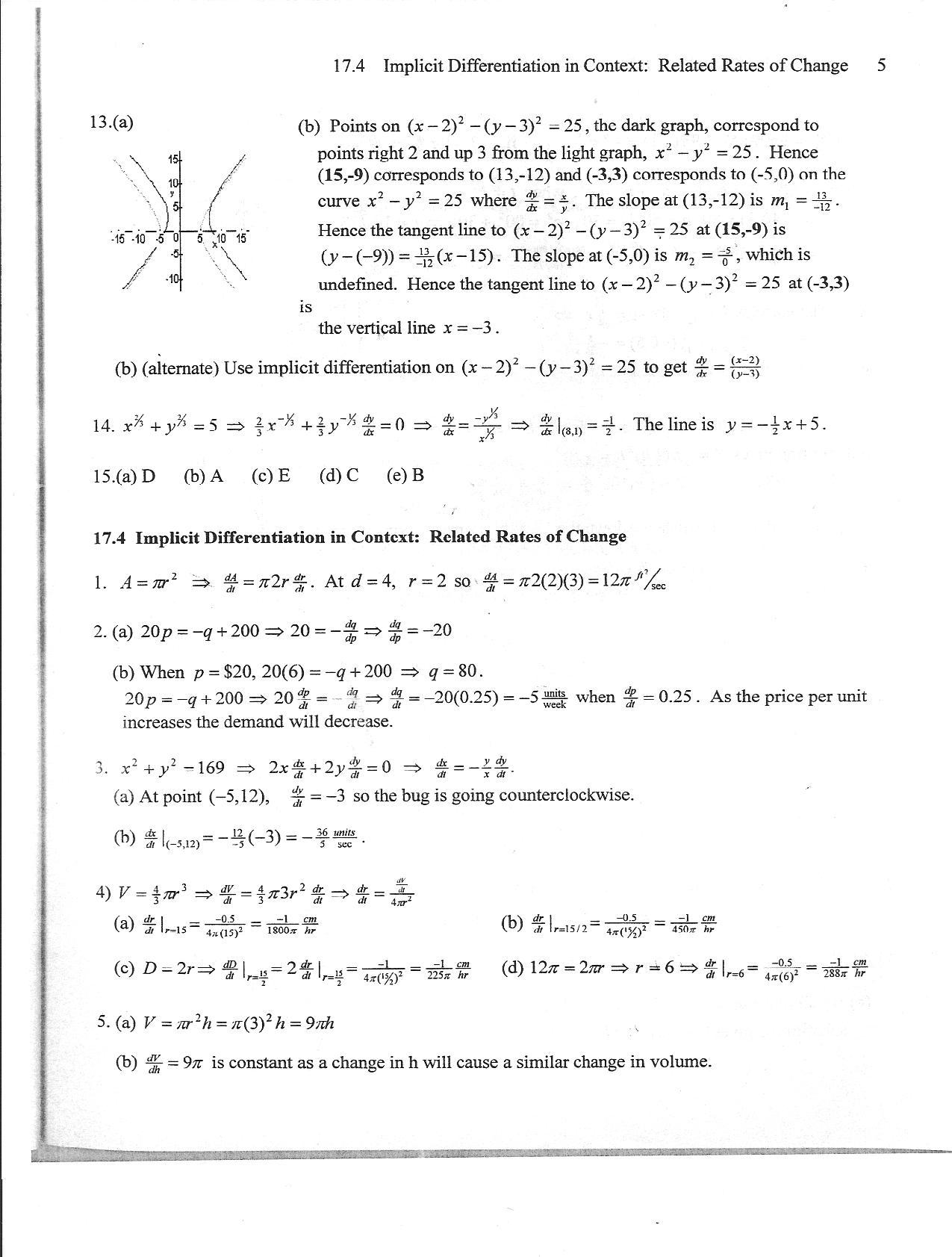
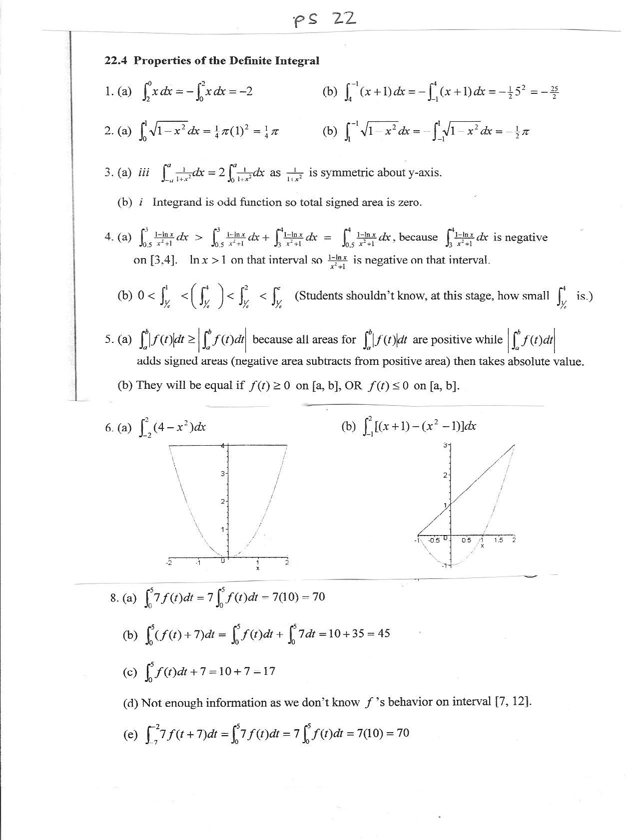
n n