Page 003.pnm

« Menu »
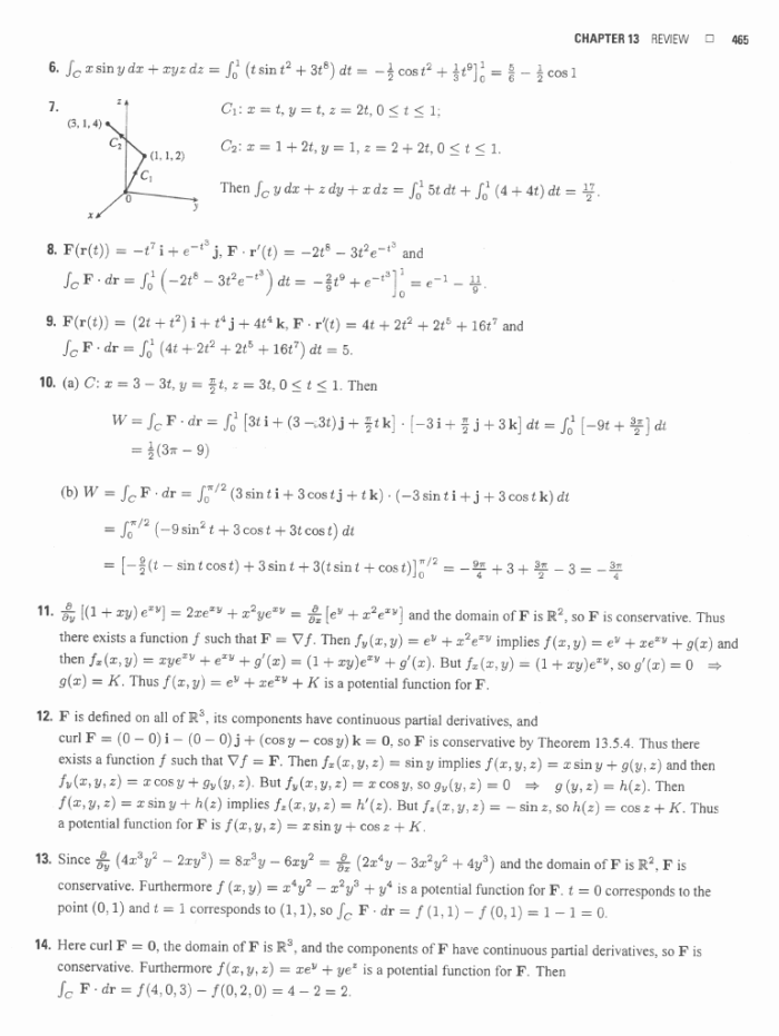
003.pnm.gif