Math 21a Solutions - Nov 30

14.5 - 2

14.5 - 40

14.PE - 4

14.PE - 36

14.PE - 38

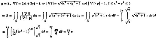
14.PE - 52

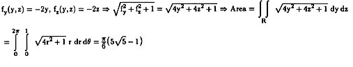
14.PE - 54