Math 21a Solutions - Nov 20

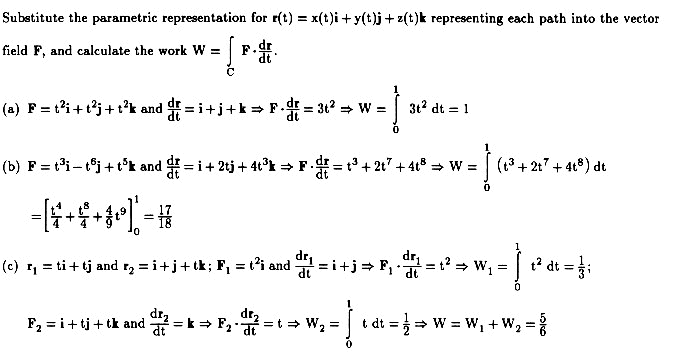
14.2 - 4

14.2 - 10

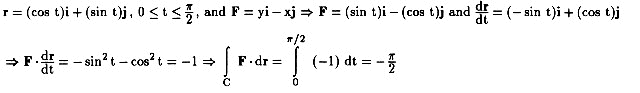
14.2 - 12

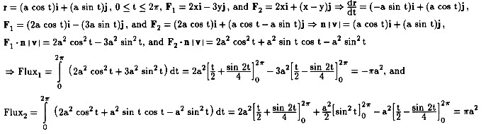
14.2 - 20

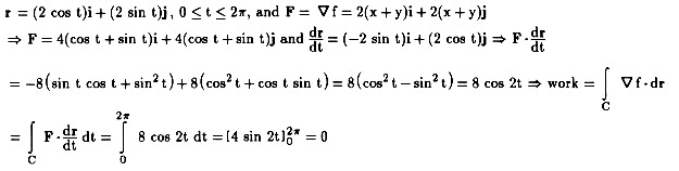
14.2 - 22

14.2 - 24

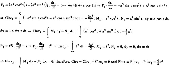
14.2 - 26

14.2 - 45