Math 21a Solutions - Nov 18
13.6 - 60
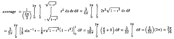
13.6 - 64