Math 21a Solutions - Nov 4
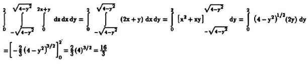
13.1 - 4
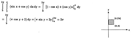
13.1 - 8
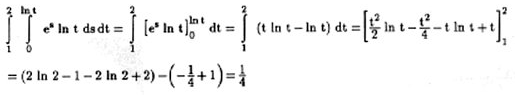
13.1 - 10
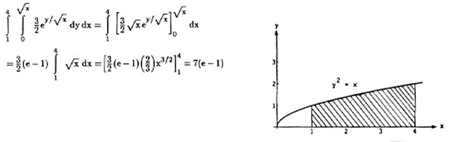
13.1 - 16