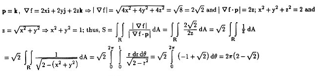
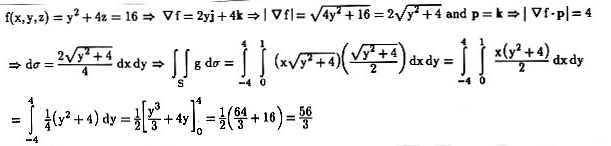
Math 21a Solutions - Dec 4

14.5 - 6

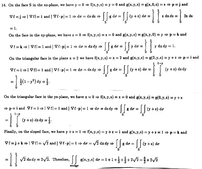
14.5 - 14

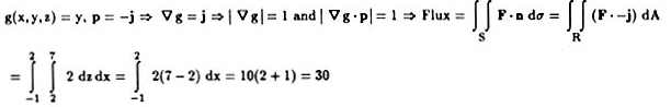
14.5 - 18

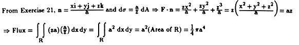
14.5 - 20

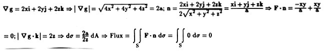
14.5 - 22

14.5 - 24

14.5 - 32