Page 1006

« Menu »
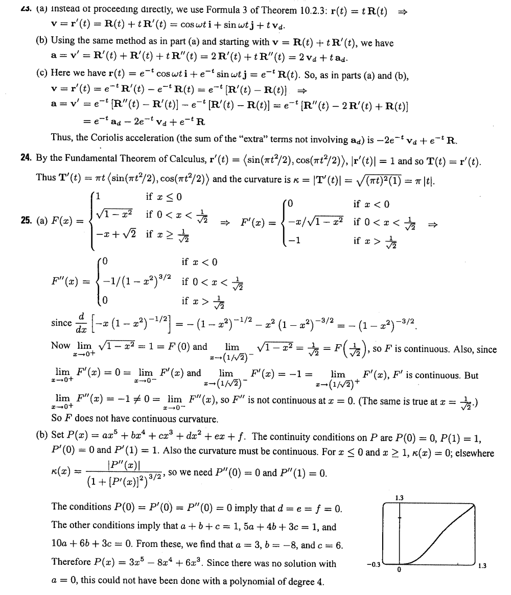
1006.gif