Page 106

« Menu »
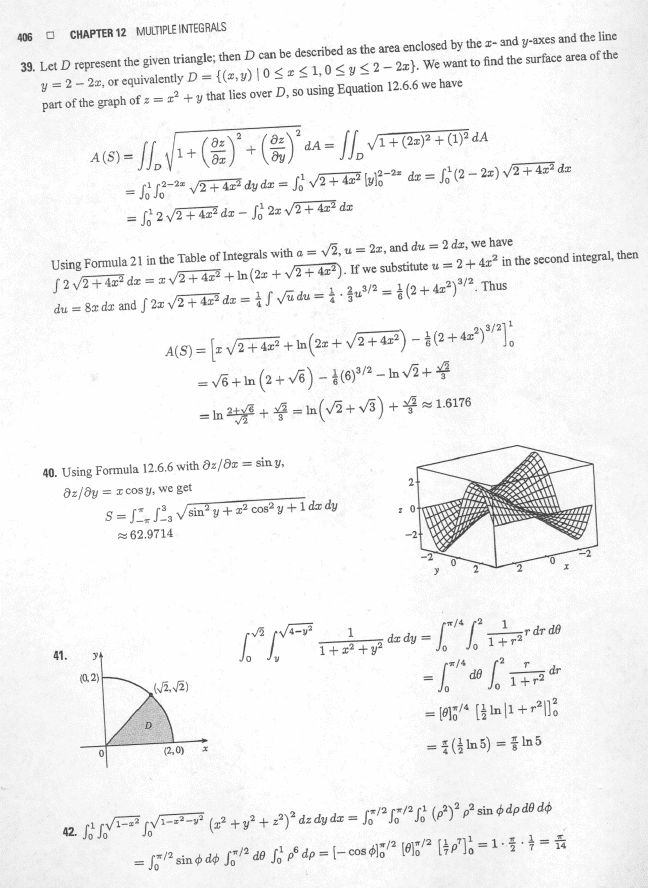
106.gif